文章推荐
更多>
优先发表栏目展示本刊经同行评议确定正式录用的文章,这些文章目前处在编校过程,尚未确定卷期及页码,但可以根据DOI进行引用。
显示方式:
2025, 46(10): 1369-1371.
doi: 10.16835/j.cnki.1000-9817.2025309
摘要:
童年期不良经历(ACEs)是多种身心健康问题的重要环境风险因素。近年,ACEs的跨代健康效应逐渐成为研究焦点,研究通过对ACEs的流行现状、跨代健康效应、生物学和社会心理学机制进行分析,呼吁从机制、方法和实践转化方面加强相关研究的开展,为持续优化儿童成长环境政策的制定提供科学依据。
童年期不良经历(ACEs)是多种身心健康问题的重要环境风险因素。近年,ACEs的跨代健康效应逐渐成为研究焦点,研究通过对ACEs的流行现状、跨代健康效应、生物学和社会心理学机制进行分析,呼吁从机制、方法和实践转化方面加强相关研究的开展,为持续优化儿童成长环境政策的制定提供科学依据。
2025, 46(10): 1372-1375.
doi: 10.16835/j.cnki.1000-9817.2025302
摘要:
开展有效的学校健康教育是提升学生健康素养的关键。2024年,美国颁发的《国家健康教育标准》(NHES)(第3版)以健康素养为核心建立目标体系,其特征包括标准的设计具有层级性、连续性、整体性,强调基于技能的健康教育,注重整体健康和幸福,突出多元化的评价体系。通过对美国NHES(2024年)进行文本分析,获取4个方面启示:将健康素养融入学科核心素养,研制本土化的健康教育标准;基于逆向设计创建健康教育知识图谱,完善内容结构;深化“学科渗透+专题教育+”模式,在实施中注重学生的深度参与和表现;完善健康教育评估体系,运用数智技术实现精准干预,以促进学生全面发展、推进教育现代化。
开展有效的学校健康教育是提升学生健康素养的关键。2024年,美国颁发的《国家健康教育标准》(NHES)(第3版)以健康素养为核心建立目标体系,其特征包括标准的设计具有层级性、连续性、整体性,强调基于技能的健康教育,注重整体健康和幸福,突出多元化的评价体系。通过对美国NHES(2024年)进行文本分析,获取4个方面启示:将健康素养融入学科核心素养,研制本土化的健康教育标准;基于逆向设计创建健康教育知识图谱,完善内容结构;深化“学科渗透+专题教育+”模式,在实施中注重学生的深度参与和表现;完善健康教育评估体系,运用数智技术实现精准干预,以促进学生全面发展、推进教育现代化。
2025, 46(10): 1376-1380.
doi: 10.16835/j.cnki.1000-9817.2025290
摘要:
目的 识别青少年受欺凌经历与焦虑抑郁症状网络结构中的核心症状和桥梁症状,深入探索三者间的联系,为欺凌行为精准防治和改善青少年心理健康状况提供依据。 方法 2023年10—11月,采用分层整群随机抽样方法从广西的北海、贵港、河池和来宾4座城市抽取4 759名初、高中学生,使用中文版Olweus欺负问卷(OBVQ)调查受欺凌情况,使用广泛性焦虑障碍量表(GAD-7)、9项患者健康问卷(PHQ-9)分别评估焦虑症状和抑郁症状。使用R 4.4.1软件Bootnet包(1.6版)构建网络结构分析青少年受欺凌经历与焦虑抑郁症状的联系。 结果 广西青少年抑郁症状、焦虑症状和受欺凌经历的报告率分别为24.67%,16.33%,16.58%。网络分析显示,预期影响最高的节点为“拿走或损坏财物”,其标准化预期影响系数(EI)为2.09;桥梁预期影响位列前2的节点为“自伤或自杀想法”和“易怒”,其标准化桥梁预期影响系数(BEI)分别为2.15,1.27;节点“拿走或损坏财物”与“打、踢、推、撞等肢体攻击”“嘲笑口音”之间的关联较为紧密(边权重分别为0.43,0.35)。 结论 针对青少年受欺凌经历与焦虑抑郁症状网络中预期影响和桥梁预期影响最强的症状采取预防措施,可能是减少受欺凌经历和焦虑抑郁症状对青少年负面影响的有效途径。
2025, 46(10): 1381-1386.
doi: 10.16835/j.cnki.1000-9817.2025289
摘要:
目的 分析母亲不良童年经历与儿童社会行为的相关性,为进一步开展母亲及儿童社会行为相关研究提供理论依据。 方法 检索建库至2025年5月中国知网(CNKI)、维普、万方、SinoMed、PubMed、Web of Science、Cochrane Library、Embase、SpringLink数据库中与母亲不良童年经历和儿童不良社会行为发展相关的研究。中文数据库通过3组关键词进行匹配检索:“孕产妇”“母亲”“女性”; “童年不良经历”“早年不良经历”“青少年不良经历”; “儿童”“青少年”“儿童行为”“儿童发展”“青少年行为”“内化行为”“外化行为”。英文数据库通过3组关键词进行检索:“Female”“Pregnant women”“Mothers”; “Adverse childhood experiences”“Adverse early childhood experiences”“Adverse experiences of adolescent”; “Child behavior”“Child development” “Adolescent behavior”“Internalized behaviors”“Externalized behaviors”。对筛选出的文献进行质量评价、资料提取,以比值比(OR)和置信区间(95%CI)为效应指标。采用State 16.0软件进行异质性检验、亚组分析、发表偏倚分析等。 结果 最终纳入14篇文献,共64 302对母子。Meta分析结果显示,母亲不良童年经历与儿童不良的内化行为(OR=1.75,95%CI=1.42~2.15)和外化行为(OR=1.82,95%CI=1.51~2.20)均呈正相关(P值均 < 0.01)。亚组分析结果显示,母亲不良童年经历与儿童不良的内化行为、外化行为在不同研究地区[内化行为:国内、国外OR值(95%CI)分别为2.03(1.49~2.76),1.55(1.19~2.03);外化行为:国内、国外OR值(95%CI)分别为2.41(1.52~3.82),1.65(1.36~2.01)]、研究方法[内化行为:队列研究、横断面研究OR值(95%CI)分别为1.64(1.34~2.00),1.85(1.30~2.65);外化行为:队列研究、横断面研究OR值(95%CI)分别为1.76(1.46~2.12),2.12(1.40~3.20)]、样本量[内化行为:≥4 000, < 4 000对OR值(95%CI)分别为1.69(1.13~2.55),1.77(1.41~2.24);外化行为:≥3 000, < 3 000对OR值(95%CI)分别为1.72(1.37~2.17),2.13(1.44~3.15)]等均呈正相关(P值均 < 0.05)。 结论 母亲不良童年经历与儿童不良内化行为、外化行为的发展均呈正相关,但该结果仍需要更多的研究继续验证。
2025, 46(10): 1387-1391.
doi: 10.16835/j.cnki.1000-9817.2025297
摘要:
目的 分析青少年留守状态与健康危险行为(HRB)的相关性,为发现HRB高危人群并制定干预措施提供实证依据。 方法 2023年10—11月,采用方便抽样与整群抽样相结合的方法选取湖北省某县级市6所学校(3所初中及3所高中)及湖南省某县级市7所初中14 964名青少年为研究对象,根据留守状态将青少年分为父母均未外出、仅父亲外出、仅母亲外出、父母均外出打工组,采用自编HRB调查表了解研究对象12种HRB报告率及其共存情况。采用多因素Logistic回归和无序多分类Logistic回归分析分别探究青少年留守状态与单一类别HRB及HRB共存的关联。 结果 在控制性别、年龄、独生子女、主观社会经济地位后,多因素Logistic回归分析结果显示,仅父亲外出打工与青少年学习日(OR=1.15,95%CI=1.05~1.26)和休息日(OR=1.16,95%CI=1.06~1.26)屏幕使用过长相关;仅母亲外出打工与青少年吸烟(OR=1.68,95%CI=1.22~2.32),学习日屏幕使用过长(OR=1.19,95%CI=1.00~1.41),休息日屏幕使用过长(OR=1.36,95%CI=1.16~1.59),不吃早餐(OR=1.20,95%CI=1.03~1.39),不吃晚餐(OR=1.20,95%CI=1.01~1.43),不吃水果(OR=1.34,95%CI=1.12~1.61),含糖饮料摄入(OR=1.30,95%CI=1.09~1.55)风险增加均有关;父母均外出打工与青少年休息日屏幕使用过长(OR=1.51,95%CI=1.38~1.65),不吃晚餐(OR=1.15,95%CI=1.04~1.27),不吃水果(OR=1.80,95%CI=1.62~1.99),非自杀性自伤(OR=1.16,95%CI=1.04~1.29)均呈正相关,与快餐消费呈负相关(OR=0.72,95%CI=0.65~0.79)(P值均 < 0.05)。无序多分类Logistic回归分析结果显示,母亲外出打工与HRB中和高共存风险升高相关(OR=1.25,95%CI=1.06~1.47;OR=1.67,95%CI=1.30~2.13),父母均外出打工与HRB高度共存风险呈正相关(OR=1.29,95%CI=1.11~1.50)(P值均 < 0.05)。 结论 父亲外出打工仅与青少年屏幕使用时间相关,母亲外出打工与双亲外出打工的青少年是HRB预防的重点人群。
2025, 46(10): 1392-1395.
doi: 10.16835/j.cnki.1000-9817.2025293
摘要:
目的 探讨盲盒消费与中学生非自杀性自伤(NSSI)行为的相关性,为中学生NSSI预防提供新的理论借鉴。 方法 2024年11月—2025年3月,采用分层随机整群抽样方法,在湖南、甘肃两省抽取2 807名11~19岁初、高中学生作为研究对象,采用盲盒消费问卷、功能性自伤行为评估量表评估学生盲盒消费频次及NSSI行为发生情况。采用χ2检验比较不同组别中学生NSSI分布差异,多元Logistic回归模型分析盲盒消费与中学生NSSI的相关性及性别差异。 结果 15.3%的中学生报告最近1年内存在1次及以上的NSSI,其中偶有NSSI(1~4次)和反复NSSI(≥5次)的报告率分别为5.5%和9.8%。单因素分析结果显示,不同盲盒消费频次中学生NSSI分布的差异均有统计学意义(χ2=55.72,P < 0.05)。调整年龄、性别、学段、家庭类型、管教方式、零花钱、冲动性和情绪管理等混杂因素后,多元Logistic回归分析结果显示,与无盲盒消费组相比,有盲盒消费组“偶有NSSI”和“反复NSSI”的风险更高(OR值分别为1.54,1.66),盲盒消费频次(连续变量)与中学生“偶有NSSI”和“反复NSSI”风险呈正相关(OR值分别为1.26,1.34)(P值均 < 0.05);性别分层后,男、女生有无盲盒消费行为、盲盒消费频次(连续变量)均与“反复NSSI”相关(男:OR值分别为1.61,1.32;女:OR值分别为1.65,1.35,P值均 < 0.05),仅在男生群体中观察到盲盒消费与“偶有NSSI”相关(OR=2.27,P < 0.05)。 结论 盲盒消费可能与中学生NSSI有关,且其与中学生NSSI的相关性存在性别差异。
2025, 46(10): 1396-1400.
doi: 10.16835/j.cnki.1000-9817.2025308
摘要:
目的 探讨性少数大学生心理健康状况与童年期不良经历(ACEs)的关联,为高校心理健康教育与健康促进提供科学依据。 方法 2024年1—2月,采用方便抽样与整群抽样相结合的方法选取广西11所高校1 792名大学生,采用自我报告法筛查性少数群体(476名),运用症状自评量表(SCL-90)、简体中文版童年期不良经历国际量表(SC-ACE-IQ)调查其心理健康与ACEs情况,并使用多因素Logistic回归分析两者关联。 结果 广西性少数大学生心理健康问题及各因子检出率均高于非性少数群体(χ2=56.01~91.39,P值均 < 0.01)。除身体忽视、霸凌、社区暴力外,性少数大学生其余各种类型ACEs报告率均高于非性少数群体(χ2=4.52~13.34,P值均 < 0.05)。大学生ACEs总分为1.00(1.00, 2.00)分,SCL-90总分为96.00(113.00, 160.00)分。Spearman相关分析显示,ACEs总分与SCL-90总分呈正相关(r=0.29);ACEs中情感忽视、身体忽视、情感虐待、性虐待、失去父母、家庭暴力、社区暴力因子与SCL-90各因子得分均呈正相关(r=0.05~0.22)(P值均 < 0.05)。多因素Logistic回归分析结果显示,家庭暴力会增加性少数大学生心理健康问题的风险(OR=1.61,95%CI=1.26~2.09);情感忽视(OR=1.05,95%CI=1.00~1.10)、身体忽视(OR=1.20,95%CI=1.06~1.35)、性虐待(OR=1.49,95%CI=1.15~1.93)均会增加非性少数大学生心理健康问题的风险;在总样本和两类群体中,ACEs的累积效应均有统计学意义(P值均 < 0.05)。 结论 广西性少数大学生心理健康状况与ACEs存在关联,应积极关注有ACEs大学生的心理健康状况。
2025, 46(10): 1401-1405.
doi: 10.16835/j.cnki.1000-9817.2025288
摘要:
目的 探讨课间牛奶鸡蛋加餐对云南农村小学生体成分及骨密度的影响, 为制定针对性的营养干预策略提供参考。 方法 2023年12月采用整群抽样方法选取云南省景谷县和施甸县各4所小学一至三年级学生为干预组(662名), 另从同县小学中按规模、学生人数匹配的原则各选择2所寄宿小学作为对照组(455名)。干预组在校园上午大课间或下午课间每日补充200 mL牛奶和50 g鸡蛋, 于2023年4月开始, 干预8个月;对照组不改变饮食行为。于2023年4和12月, 采用生物电阻抗法测量体成分, 双能X线吸收法测定桡骨远端骨密度, 运用倍差法分析干预效果。 结果 干预组与对照组小学生体脂率、骨骼肌质量和去脂体重终期测量值较基线均显著升高, 牛奶鸡蛋干预净效应无统计学意义(校正前后P值均>0.05);干预组小学生骨密度增加0.02 g/cm2, 牛奶鸡蛋干预对骨密度影响净效应有统计学意义(β=0.02, 95%CI=0.00~0.04), 模型校正后净效应仍有统计学意义(β=0.02, 95%CI=0.00~0.04)(P值均 < 0.05)。分亚组看, 干预对女生(β=0.02, 95%CI=0.00~0.04)、走读生(β=0.04, 95%CI=0.01~0.07)、营养状况为正常的学生(β=0.02, 95%CI=0.00~0.04)效果均有统计学意义(P值均 < 0.05)。干预对体成分指标影响均无统计学意义(P值均>0.05)。 结论 课间牛奶鸡蛋加餐可增加云南农村小学生的骨密度。建议农村学龄儿童应增加牛奶和鸡蛋的摄入, 以促进身体生长发育。
2025, 46(10): 1411-1415.
doi: 10.16835/j.cnki.1000-9817.2025246
摘要:
目的 分析海拔高度与儿童青少年营养状况的关联, 并探究饮食行为及身体活动在其中的调节作用, 为因地制宜制定儿童青少年生活方式干预措施提供科学依据。 方法 2023年9—11月, 采用分层整群随机抽样方法从内蒙古和西藏2个自治区抽取156 511名7~17岁儿童青少年, 通过体格检查获取身高、体重, 计算体质量指数; 通过问卷收集调查对象的社会人口学特征、饮食行为和身体活动因素, 利用高德地图获取调查对象所在学校的海拔高度。采用Logistic回归分析海拔与营养状况之间的关系, 通过引入交互项和分层分析探究饮食行为与身体活动在其中的调节作用, 并使用限制性立方样条(RCS)分析技术进行可视化。 结果 2023年西藏儿童青少年消瘦、超重肥胖检出率分别为9.7%, 9.0%, 内蒙古分别为2.9%, 22.0%。Logistic回归分析结果显示, 海拔每增加1 km, 儿童青少年消瘦风险增加、超重肥胖风险降低(OR值分别为1.43, 0.19, P值均 < 0.05)。分层分析结果显示, 与海拔高度 < 1 km组的儿童青少年相比, 健康饮食组中1~ < 2和2~ < 3 km海拔与消瘦的关联均无统计学意义(OR值分别为1.22, 0.75, P值均>0.05), 海拔3~ < 4和≥4 km组与消瘦的关联均有统计学意义(OR值分别为2.25, 2.89, P值均 < 0.05);不健康饮食组的海拔高度与消瘦的关联均有统计学意义(OR=1.18~4.04, P值均 < 0.05), 与RCS分析结果一致。儿童青少年身体活动对海拔与消瘦的关联、饮食行为和身体活动对海拔与超重肥胖的关联均无调节作用(P交互值分别为0.63, 0.10, 0.53)。 结论 健康饮食行为在改善儿童青少年营养状况以及消除地区间差异方面具有关键性作用, 可为相关公共卫生政策的制定与实施提供科学依据。
2025, 46(10): 1406-1410.
doi: 10.16835/j.cnki.1000-9817.2025300
摘要:
目的 评估高校人类免疫缺陷病毒(HIV)防控中具备医学背景的同伴在社交网络中的结构传播优势及其对大学生知识-态度-实践(KAP)水平的干预效果, 为结构化健康传播提供理论支撑与实践路径。 方法 2025年4—6月在南开大学采用分层整群随机抽样方法选取367名本科生。采用多模态策略构建学生社交网络, 并以中介中心性≥0.3、特征向量中心性≥P90、担任学生干部≥1年、在课堂或信息互动中被提及≥2次的标准筛选50名同伴节点实施共5轮、每轮5 d的干预, 同伴领袖每日通过微信/QQ群推送5次微信息(知识点、互动话题或视频), 干预前后测量艾滋病防治KAP量表得分, 采用配对t检验和Logistic回归分析干预成效与预测因子。 结果 干预后艾滋病防治KAP总得分由(65.86±6.58)分提升至(71.27±4.90)分, 差异有统计学意义(t=-12.84, P < 0.01)。医学组中介中心性高于非医学组[(0.51±0.09) (0.34±0.12), t = 3.18, P<0.01], 平均每天传播速率峰值达8.71人, 网络模块度由0.39提升至0.47(ΔQ=0.09, P < 0.01)。结构优势与医学背景交互作用显著预测KAP改善(OR=4.21, 95%CI=1.89~9.38, P < 0.05)。 结论 专业同伴在高校HIV防治干预中具有显著结构传播优势, 建议结合网络结构和专业背景优化种子节点筛选策略。
2025, 46(10): 1416-1421.
doi: 10.16835/j.cnki.1000-9817.2025294
摘要:
目的 探讨基于学校开展的预防未成年人性侵害干预项目的效果及其维持情况, 为优化干预设计和政策制定提供科学依据。 方法 检索中国知网、万方数据库、Medline(通过PubMed)、Embase、Cochrane Library和Web of Science 6个中英文数据库, 限定时间为建库至2024年12月31日, 筛选出基于学校开展未成年人性侵害预防项目的文献, 提取防性侵相关知识、态度和技能的测量数据, 采用Stata 17软件进行Meta分析。 结果 共纳入26篇文献, Meta分析结果显示, 基于学校的防性侵项目可以改善参与者的知识(SMD=1.24, 95%CI=0.96~1.52)、态度(SMD=0.62, 95%CI=0.19~1.04)和技能(SMD=0.66, 95%CI=0.50~0.83)(P值均 < 0.01);相较于干预结束后, 整体随访期间, 知识、态度和技能的维持率分别为0.97(95%CI=0.95~1.00), 0.99(95%CI=0.95~1.04)和1.01(95%CI=0.99~1.04), 差异均无统计学意义(P值均>0.05)。但知识维持率在随访时间超过3个月后下降(R=0.91, 95%CI=0.83~0.99, P < 0.01), 技能维持率(R=0.94, 95%CI=0.87~1.02, P=0.23)高于知识和态度维持率(R=0.98, 95%CI=0.96~1.00, P=0.13), 表现出更强的长期效果。 结论 学校防性侵项目在提升参与者的知识、态度和技能方面有效, 但干预效果随着时间衰退, 尤其是知识水平下降显著。
2025, 46(10): 1422-1426.
doi: 10.16835/j.cnki.1000-9817.2025304
摘要:
目的 探讨亲子联结与中等职业学校学生(简称中职生)恋爱行为的关联及同伴恋爱行为的调节效应, 为家庭和学校健康教育提供科学依据。 方法 于2021年3—4月, 采用方便抽样与整群抽样相结合的方法选取上海市和陕西省的6所中等职业技术学校2 426名学生进行调查。使用电子问卷调查学生的家庭特征、本人及同伴恋爱行为及亲子联结。采用t检验进行组间比较, 采用二元Logistic回归分析亲子联结水平、同伴恋爱行为与中职生恋爱行为之间的关系。 结果 母子(女)联结水平(2.63±0.77)高于父子(女)联结(2.48±0.78), 差异有统计学意义(t=6.83, P < 0.01)。多因素Logistic回归分析结果显示, 父子(女)联结与中职生恋爱行为呈负相关(OR=0.86, 95%CI=0.76~0.97, P=0.02), 但按性别分层后仅与女生恋爱行为有关(OR=0.79, 95%CI=0.66~0.93, P=0.01)。同伴恋爱行为与不同性别中职生的恋爱行为均呈正相关(OR=3.19~5.12, P值均 < 0.01), 且在母子联结对男生恋爱行为的影响中有调节效应(OR=1.67, 95%CI=1.05~2.66, P=0.03)。在无同伴恋爱行为的男生中, 母子联结水平与其恋爱行为间存在负向关联(OR=0.60, 95%CI=0.36~0.99);在上海的总人群和陕西的女生中, 父子(女)联结与中职生恋爱行为均呈负相关(OR值分别为0.84, 0.65, 95%CI值分别为0.71~1.00, 0.50~0.85), 同伴恋爱行为在母子联结对上海男生恋爱行为的影响中有负向调节效应(OR=1.91, 95%CI=1.03~3.57)(P值均 < 0.05)。 结论 父女联结水平与女生恋爱行为呈负相关, 同伴恋爱行为会削弱母子联结水平与男生恋爱行为的关联。应提高中职生与父母的亲子联结水平及其应对同伴影响的能力, 为青少年异性交往提供正确引导。
2025, 46(10): 1432-1436.
doi: 10.16835/j.cnki.1000-9817.2025295
摘要:
目的 探讨中小学男生家长对人乳头瘤病毒(HPV)及疫苗相关的知识掌握情况、接种态度及意愿的影响因素,为制定针对性的健康教育策略和推动男生HPV疫苗普及提供科学依据。 方法 2025年3月3—14日,采取分层整群随机抽样方法选取深圳市宝安区912名中小学男生家长进行问卷调查,收集其人口学特征、HPV及疫苗相关知识、接种态度及意愿数据,单因素分析采用χ2检验或t检验,HPV疫苗接种意愿的相关因素分析采用二元Logistic回归模型。 结果 家长HPV及疫苗相关知识总知晓率为35.75%,其中男生接种疫苗类型(6.36%)、最佳接种年龄(21.16%)和最佳接种时期(31.25%)知晓率最低。家长HPV及疫苗相关知识得分为(4.31±2.66)分,态度得分为(3.82±0.63)分。64.25%的家长表示愿意为男生接种HPV疫苗。有接种意愿的家长HPV及疫苗相关知识、态度得分(4.86±2.55,4.02±0.58)均高于无接种意愿家长(3.34±2.57,3.46±0.55),差异均有统计学意义(t值分别为8.59,13.96,P值均 < 0.01)。Logistic回归分析结果表明,未养育女儿的家长对男生HPV疫苗的接种意愿较低(OR=0.49,95%CI=0.35~0.70);HPV及疫苗相关知识得分每提高1分,接种意愿增加9.0%(OR=1.09,95%CI=1.01~1.17);担心男生有感染风险(OR=1.50,95%CI=1.08~2.08)及“即使孩子同学没有接种也会让孩子接种HPV疫苗”(OR=3.68,95%CI=2.73~4.94)的家长对男生HPV疫苗的接种意愿较高(P值均 < 0.05)。 结论 深圳市宝安区中小学男生家长HPV及疫苗相关知识得分较低,虽然为男生接种HPV疫苗的意愿较高,但知识水平的不足可能制约接种意愿的持续提升与实际接种行为的转化。
2025, 46(10): 1427-1431.
doi: 10.16835/j.cnki.1000-9817.2025305
摘要:
目的 探索大学生学业拖延、负性情绪、自我控制与智能手机成瘾之间的因果关系, 为促进大学生心理健康和学业成就提供参考。 方法 选用多阶段整群随机抽样方法, 抽取广州市某高校452名大一年级学生为研究对象, 使用学业拖延量表(PASS)、抑郁-焦虑-压力量表(DASS-21)、自我控制量表和智能手机成瘾量表(SAS-SV)作为测量工具, 于2024年10月(T1)、2025年2月(T2)和2025年5月(T3)完成3次问卷调查。运用交叉滞后模型分析大学生学业拖延、负性情绪、自我控制与智能手机成瘾的因果关系。 结果 大学生SAS-SV量表平均分为(40.52±1.96), 大一新生智能手机成瘾率为43.1%。大学生学业拖延、负性情绪与智能手机成瘾在不同时间段两两之间呈正相关(r=0.30~0.62), 自我控制与其他3个变量间呈负相关(r=-0.72~-0.34)(P值均 < 0.05)。交叉滞后模型结果显示, T1和T2学业拖延、负性情绪均可正向预测T2和T3智能手机成瘾(T1→T2, β值分别为0.22, 0.35;T2→T3, β值分别为0.21, 0.24), 自我控制负向预测智能手机成瘾(T1→T2, β=-0.32;T2→T3, β=-0.26)(P值均 < 0.05);反向因果回归模型中, T1和T2智能手机成瘾均可正向预测T2和T3学业拖延及负性情绪(T1→T2, β值分别为0.09, 0.24;T2→T3, β值分别为0.10, 0.35, P值均 < 0.05), 但对自我控制预测作用无统计学意义(T1→T2, β=-0.04;T2→T3, β=-0.03, P值均>0.05)。 结论 大学生学业拖延、负性情绪与智能手机成瘾互为因果关系, 自我控制单向预测智能手机成瘾。
2025, 46(10): 1437-1442.
doi: 10.16835/j.cnki.1000-9817.2025292
摘要:
目的 分析高中生攻击性行为的影响因素,对相关变量进行重要性排序并可视化呈现,为该行为的干预措施制定提供新的参考依据。 方法 2024年12月采用方便抽样法在武汉市5所高中选取5 330名高中生进行线上问卷调查,包括Buss-Perry攻击性量表、交往焦虑量表、情绪管理量表、父母和同伴依恋量表及自编一般情况调查表。采用LASSO回归筛选变量后进行Logistic多因素回归分析,并利用随机森林模型进行变量重要性排序与可视化。 结果 单因素分析与LASSO回归结果显示,性别、情绪管理能力、父母亲依恋质量、父母管教方式、父母教养方式是否一致、家庭人均月收入、学校风气、与同学关系、交往焦虑及成绩位置均为显著变量(P值均 < 0.01)。多因素Logistic回归结果显示,情绪管理能力(OR=0.38,95%CI=0.34~0.43)、性别(OR=0.83,95%CI=0.75~0.93)、母亲依恋质量(OR=0.89,95%CI=0.74~1.07)、父亲依恋质量(OR=0.76,95%CI=0.66~0.87)、交往焦虑(OR=1.58,95%CI=1.40~1.78)、父母教养方式是否一致(OR=1.40,95%CI=1.21~1.62)、学校风气(OR=1.50,95%CI=1.14~1.98)、成绩位置(中上游:OR=0.76,95%CI=0.61~0.93;中游:OR=0.70,95%CI=0.57~0.86)是高中生攻击性行为的影响因素(P值均 < 0.05)。随机森林结果显示情绪管理能力是影响高中生攻击性行为的最主要因素。 结论 情绪管理能力被确认为青少年攻击性行为的核心预测因子,可通过提升情绪管理能力来降低高中生攻击性行为发生率。
2025, 46(10): 1443-1448.
doi: 10.16835/j.cnki.1000-9817.2025266
摘要:
目的 了解重庆市中学生抑郁焦虑症状共存现状及影响因素,为制定中学生多病共防综合策略提供科学依据。 方法 2024年9—12月,采用分层整群抽样与方便抽样相结合的方法从重庆市6个区县共抽取12 327名中学生,采用流调中心抑郁量表(CES-D)、广泛性焦虑量表(GAD-7)调查抑郁、焦虑症状。采用χ2检验比较抑郁焦虑症状共存组间差异,运用多因素Logistic回归分析其相关因素,并绘制列线图预测模型。 结果 重庆市中学生抑郁症状、焦虑症状、二者共存检出率分别为26.34%,34.55%,21.16%,其中女生3类症状检出率(29.80%,40.99%,25.15%)均高于男生(23.22%,28.73%,17.55%)(χ2值分别为68.61,204.23,106.51,P值均 < 0.01)。不同性别、学段、片区、家庭类型,是否缺乏体育锻炼、家长打骂、吸烟、饮酒、睡眠不足、电子屏幕使用时间过长、网络成瘾、校园欺凌中学生抑郁焦虑症状类型分布差异均有统计学意义(χ2=14.49~991.46,P值均 < 0.01)。多因素Logistic回归分析结果显示,与初中生相比,普通高中生发生抑郁焦虑症状共存风险更高(OR=2.71,95%CI=2.41~3.05);性别为女(OR=2.17,95%CI=1.95~2.40)、非核心家庭(OR=1.20,95%CI=1.08~1.32)、好片区(OR=1.16,95%CI=1.02~1.30)、受到校园欺凌(OR=4.88,95%CI=4.32~5.50)、有网络成瘾(OR=4.77,95%CI=3.41~6.68)、被家长打骂(OR=3.18,95%CI=2.72~3.71)、饮酒(OR=2.10,95%CI=1.86~2.37)、睡眠不足(OR=1.73,95%CI=1.54~1.95)的中学生抑郁焦虑症状共存风险较高(P值均 < 0.05)。基于显著变量构建列线图预测模型显示,C-index=0.75(AUC=0.75,95%CI=0.74~0.76,P < 0.05),模型预测效能良好。 结论 重庆市中学生抑郁焦虑症状共存现状不容乐观,可以利用列线图有效预测中学生抑郁焦虑症状共存的发生风险。
2025, 46(10): 1449-1453.
doi: 10.16835/j.cnki.1000-9817.2025314
摘要:
目的 了解中学生营养不足和抑郁症状共存现状及其相关因素,为探索中学生营养不足和抑郁症状“共存-共因-共防”提供参考。 方法 2023年9月,采用分层随机整群抽样方法在内蒙古地区12个盟市(103个旗县)抽取88 594名初中、普通高中、职业高中学生进行体格检查以获取营养不足数据,采用抑郁量表(CES-D)对其进行抑郁症状评估。采用χ2检验和多元Logistic回归法分析中学生营养不足和抑郁症状及其共存的相关因素。 结果 2023年内蒙古地区中学生营养不足和抑郁症状及其共存的检出率分别为4.60%,21.85%和0.90%。不同性别、监测点(除营养不足外)、学段中学生营养不足、抑郁症状及共存检出率差异均有统计学意义(χ2=4.95~817.39,P值均 < 0.05)。多元Logistic回归分析结果显示,高中、每天喝含糖饮料≥1次、有网络成瘾的学生营养不足及抑郁症状共存发生风险较高[OR值(95%CI)分别为1.38(1.04~1.83),1.46(1.20~1.78),2.28(1.90~2.74)];女性、每天吃新鲜水果≥1次、每周中高强度运动≥1 h/d天数≥5 d、未在非治疗时用止咳药水、未在非医嘱时用过镇静催眠类药品、不饮酒的中学生营养不足及抑郁症状共存发生风险较低[OR值(95%CI)分别为0.84(0.73~0.98),0.77(0.66~0.89),0.82(0.68~0.98),0.66(0.53~0.80),0.57(0.41~0.78),0.63(0.53~0.72)](P值均 < 0.05)。 结论 内蒙古中学生营养不足和抑郁症状及其共存的发生情况不容忽视,学校、政府和社会应采取针对性措施,通过综合干预实施多病共防策略。
2025, 46(10): 1454-1458.
doi: 10.16835/j.cnki.1000-9817.2025303
摘要:
目的 探讨大学生睡眠问题与非自杀性自伤(NSSI)行为的纵向关系,为预防和干预大学生NSSI提供参考依据。 方法 2023年10月(T1),采用方便抽样与分层整群随机抽样相结合的方法选取广东2所省属高校1 009名大学生进行为期1年的追踪调查(2024年10月,T2),采用失眠严重程度指数量表(ISI)、非恢复性睡眠量表(NRSS)、爱泼沃斯嗜睡量表(ESS)和青少年非自杀性自伤行为评定问卷(ANSAQ)等对大学生进行追踪测查,并采用McNemar's检验和Logistic回归进行数据分析。 结果 T1时大学生NSSI行为检出率为18.83%,T2时检出率下降为7.73%,差异有统计学意义(χ2=66.24,P < 0.01)。NSSI行为的变化轨迹分为持续组(4.06%)、新发组(3.67%)、消退组(14.77%)和免疫组(77.50%)。Logistic回归分析结果显示,T1夜间睡眠 < 7 h/d、失眠(轻度、中度及以上)、非恢复性睡眠(中度、重度)、嗜睡及每周噩梦次数(1~2,≥3次)为T1大学生NSSI行为的相关因素(OR值分别为5.02,2.39,5.51,3.47,9.70,2.36,2.63,4.74,P值均 < 0.01);T1失眠(轻度、中度及以上)、重度非恢复性睡眠、嗜睡和每周≥3次噩梦均会增加T2时大学生NSSI行为的风险(OR值分别为1.76,4.15,4.05,1.88,5.63,P值均 < 0.05);T1中度及以上失眠、重度非恢复性睡眠、嗜睡以及每周≥3次噩梦会增加个体进入NSSI行为新发组的风险(OR值分别为5.05,3.37,2.08,5.86,P值均 < 0.05)。 结论 失眠、非恢复性睡眠、嗜睡和频繁噩梦是大学生NSSI行为的重要风险因素,对睡眠问题进行早期评估和干预是防治NSSI的重要策略。
2025, 46(10): 1459-1464.
doi: 10.16835/j.cnki.1000-9817.2025307
摘要:
目的 探讨寄宿与非寄宿高中生抑郁焦虑症状差异及其与身体活动模式的关系,为促进高中生心理健康提供科学依据。 方法 2024年10—12月,采用方便抽样方法选取江西省南昌市、赣州市和上饶市3地36所学校的11 782名15~18岁高中生为研究对象,采用患者健康量表(PHQ-9)、广泛性焦虑量表(GAD-7)和国际体力活动问卷中文版短卷(IPAQ-SF)评估学生抑郁、焦虑及身体活动情况。采用Logistic回归探讨寄宿与非寄宿学生身体活动模式与抑郁焦虑症状的关系。 结果 寄宿生与非寄宿生抑郁症状检出率分别为45.7%和46.4%;焦虑症状检出率分别为43.0%和46.7%。寄宿生与非寄宿生吸烟、每天视屏时长、每天睡眠时长、每天久坐时长、每天吃蔬菜和午睡报告率差异均有统计学意义(χ2=16.74~664.17,P值均 < 0.01)。不同身体活动模式组间寄宿生与非寄宿生抑郁焦虑症状检出率差异均有统计学意义(χ抑郁2=23.85,χ焦虑2=22.78,P值均 < 0.01)。调整相关混杂因素后,高中生总体Logistic回归分析结果显示,与身体活动模式未达标组相比,集中型和规律型的学生抑郁症状风险均下降[OR值(95%CI)分别为0.83(0.70~0.98)和0.90(0.83~0.98)];集中型的学生焦虑症状风险更低[OR值(95%CI)=0.78(0.65~0.92)],集中型寄宿生焦虑症状风险与总体一致[OR值(95%CI)=0.71(0.52~0.98)](P值均 < 0.05)。 结论 寄宿与非寄宿高中生不同身体活动模式与抑郁焦虑症状存在关联。学校应在保持规律适度身体活动的基础上,加强学生身体活动量。
2025, 46(10): 1465-1468.
doi: 10.16835/j.cnki.1000-9817.2025249
摘要:
目的 探究平衡时间洞察力在初中生社会时差与抑郁症状之间的中介作用,为改善青少年的心理健康状况提供依据。 方法 2024年10月,采用方便抽样与整群抽样相结合的方法抽取重庆市渝北区、开州区2个区3 438名初中生为研究对象,使用流调用抑郁自评量表(CES-D)、慕尼黑睡眠时型问卷(MCTQ)、平衡时间洞察力量表(BTPI)进行问卷调查。采用t检验、方差分析、Spearman相关分析对数据进行统计学分析,使用Process程序进行中介效应分析。 结果 初中生抑郁症状得分为15.00(9.00,23.00)分,社会时差为1.18(0.72,1.83)h,平衡时间洞察力得分为-0.18(-2.82,2.93)分。初中生社会时差与抑郁症状得分呈正相关(r=0.17),平衡时间洞察力得分与社会时差(r=-0.15)、抑郁症状得分(r=-0.68)均呈负相关(P值均 < 0.01)。中介分析显示,平衡时间洞察力在初中生社会时差与抑郁症状间起到部分中介作用(β=0.68,P < 0.01),中介效应占总效应的53.97%。 结论 初中生社会时差通过影响平衡时间洞察力进而影响其抑郁症状。应改善青少年的平衡时间洞察力,减少社会时差对抑郁症状的影响。
2025, 46(10): 1469-1473.
doi: 10.16835/j.cnki.1000-9817.2025315
摘要:
目的 探讨苏州市高中生青春发动时相与抑郁症状的关系,为促进青少年心理健康提供科学依据。 方法 于2023年10月至2024年1月,采用分层整群随机抽样方法从苏州市20所高中抽取3 369名学生,进行体格检查和问卷调查。通过Preece & Baines生长模型1计算学生的身高突增开始年龄(ATO)和身高速度高峰年龄(APHV),将学生分为青春发动时相提前组(< P15)、适时组(P15~P85)、延迟组(>P85),采用二元Logistic回归分析其与抑郁症状的关联。 结果 苏州市高中男生和女生的ATO分别为(9.35±1.23)(8.12±1.52)岁,APHV分别为(12.35±0.74)(10.91±0.82)岁。抑郁症状的总检出率为34.22%,性别间差异无统计学意义(χ2=0.42,P=0.52);不同年级、早餐频率、每周中高强度运动天数、睡眠时长、是否遭受校园欺凌以及是否存在网络成瘾的学生抑郁症状检出率差异均有统计学意义(χ2=5.03~69.21,P值均 < 0.05)。调整年龄、体质量指数、地区、是否住校、早餐频率、每周中高强度运动天数、每天睡眠时长、遭受校园欺凌和存在网络成瘾协变量后,Logistic回归分析结果显示,ATO评价青春发动时相时,男生延迟组抑郁症状检出风险是适时组的1.65倍(95%CI=1.24~2.19);APHV评价青春发动时相时,男生提前组和延迟组抑郁症状检出风险分别是适时组的1.43(95%CI=1.07~1.91)和1.41倍(95%CI=1.05~1.88)(P值均 < 0.05);女生中的关联均无统计学意义(P值均>0.05)。 结论 苏州市高中生抑郁症状检出率较高,男生青春发动时相提前或延迟与抑郁症状检出有关。
2025, 46(10): 1474-1477.
doi: 10.16835/j.cnki.1000-9817.2025291
摘要:
目的 探讨大学生久坐行为与抑郁、焦虑、压力等心理健康问题的关联,并分析外卖消费行为在其中的调节作用,为减少大学生情绪症状提供科学依据。 方法 2021年5—6月,采用分层整群抽样方法从安徽省合肥市2所高等院校抽取3 427名大一年级学生进行问卷调查,了解其人口学特征、久坐时间、外卖消费行为及抑郁、焦虑、压力等情绪症状信息。使用Spearman相关分析各变量之间关联,采用线性回归分析外卖消费行为在大学生久坐时间与抑郁、焦虑和压力症状关联间的作用。 结果 久坐时间和外卖消费行为与大学生的抑郁、焦虑和压力症状均呈正相关(r值分别为0.10,0.10,0.10;0.10,0.11,0.11,P值均 < 0.05)。线性回归分析结果则显示外卖消费行为和久坐时间的交互项与大学生抑郁、焦虑和压力症状均呈正相关(抑郁:β=0.04,焦虑:β=0.04,压力:β=0.04,P值均 < 0.05)。简单斜率检验结果表明,无论外卖消费行为程度高低,久坐时间均与大学生的抑郁症状呈正相关;相较于低外卖消费行为,高外卖消费行为增强了久坐时间与大学生抑郁症状的关联(β=0.77,P < 0.01)。此外,在高外卖消费行为下,久坐时间与大学生的焦虑、压力症状均呈正相关(β值分别为0.64,0.71,P值均 < 0.01);而在低外卖消费行为下,久坐时间与大学生的焦虑、压力症状相关性均无统计学意义(β值分别为0.17,0.22,P值均>0.05)。 结论 久坐行为与大学生抑郁、焦虑、压力等情绪症状发生风险增加相关,而外卖消费行为可能加剧这一影响。
2025, 46(10): 1478-1483.
doi: 10.16835/j.cnki.1000-9817.2025287
摘要:
目的 探讨睡眠昼夜节律紊乱指标(睡眠时型、时长和社会时差)与中小学生抑郁焦虑症状共存的关系,为促进中小学生心理健康提供参考依据。 方法 2023年10月,基于分层整群随机抽样方法选取南京市15 944名中小学生为研究对象,其睡眠时型、抑郁焦虑症状共存情况通过清晨与夜晚型问卷、流调中心抑郁量表和广泛性焦虑障碍量表进行调查。采用χ2检验进行率的组间比较,应用Logistic回归模型分析睡眠时型、时长和社会时差与中小学生抑郁焦虑症状共存的关联。 结果 南京市中小学生抑郁焦虑症状共存检出率为16.9%。调整协变量后,Logistic回归模型结果显示,夜晚型睡眠时型(OR=6.55,95%CI=5.59~7.68)、睡眠不足(OR=3.05,95%CI=2.60~3.59)和社会时差≥2 h(OR=2.09,95%CI=1.85~2.37)与中小学生抑郁焦虑症状共存独立相关(P值均 < 0.05),独立相关性在性别、学段亚组中始终稳健。同时经历夜晚型睡眠时型和睡眠不足(OR=7.54,95%CI=3.55~16.01)、夜晚型睡眠时型和社会时差≥2 h(OR=4.18,95%CI=3.01~5.81)与抑郁焦虑症状共存风险增加相关(P值均 < 0.05)。女生组、高中生组的夜晚型睡眠时型且睡眠不足、社会时差≥2 h呈现出对抑郁焦虑症状共存更高的联合效应[OR值(95%CI)分别为8.46(3.25~22.04),15.90(3.66~69.08);7.87(4.90~12.65),4.85(3.10~7.59),P值均 < 0.05]。 结论 夜晚型睡眠时型、睡眠不足和社会时差≥2 h可能是抑郁焦虑症状共存的风险因素。关注多个睡眠风险因素的共存可能有助于减缓中小学生情绪障碍的发生。
2025, 46(10): 1484-1488.
doi: 10.16835/j.cnki.1000-9817.2025312
摘要:
目的 了解宁夏高校不同体质量指数(BMI)等级大一学生体质健康水平,并探讨BMI与体能指数(PFI)的关联,为提高大学生体质健康水平提供参考依据。 方法 2024年11月,采用方便抽样和分层整群随机抽样相结合的方法,收集宁夏银川市4所高校2019—2023年16 631名大一学生体质健康测试数据,采用体能测试成绩Z分计算PFI,对大学生BMI和PFI的关系建立最小二乘法的非线性二次模型。 结果 男生BMI为(21.69±3.53)kg/m2,女生为(20.78±2.94)kg/m2。男生体能指标综合得分(69.86±9.25)低于女生(72.24±8.15),差异有统计学意义(t=-17.54);且男生各项体能指标(肺活量、坐位体前屈、立定跳远、引体向上/1 min仰卧起坐、1 000 m跑/800 m跑)不及格率均高于女生(χ2值分别为103.48,72.45,14.38,5 134.85,188.89)(P值均 < 0.01)。不同BMI等级间比较显示,男生在50 m跑、立定跳远、1 000 m跑、综合得分及PFI上均表现为正常体重组优于其余组别(F值分别为89.17,113.90,179.02,573.35,593.08);女生在50 m跑、坐位体前屈、800 m跑、综合得分及PFI上均表现为正常体重组优于其余组别(F值分别为10.67,19.58,96.45,294.05,183.45)(P值均 < 0.01)。大一学生BMI和PFI的关系呈现抛物线变化趋势,BMI居中的学生表现出较高的PFI,并且随着BMI的升高,PFI呈下降趋势(P值均 < 0.01)。 结论 宁夏高校大一男生体质健康水平低于女生,BMI等级与PFI存在关联性。应根据不同性别、不同BMI等级学生的体质特点,采取不同干预措施以改善大学生体质健康。
2025, 46(10): 1489-1492.
doi: 10.16835/j.cnki.1000-9817.2025301
摘要:
目的 采用成分数据分析法探讨中小学生24 h活动行为与身体成分间的关联,为有效指导儿童青少年合理分配24 h活动行为并改善身体成分状况提供科学参考。 方法 2021年6月,采用随机整群抽样方法抽取山西省太原市349名中小学生为研究对象。采用成分多元回归分析探讨中小学生24 h不同活动行为与身体成分指标的关联,采用成分等时替代模型探讨活动行为间等时替代10和20 min时对身体成分的定量效应。 结果 女生久坐(SB)时间与去脂体重(FFM)呈负相关(β=-4.81,P < 0.01)。男生中高强度身体活动(MVPA)时间与FFM呈正相关(β=7.01);低强度身体活动(LPA)时间与FFM呈负相关(β=-9.26),与体脂百分比(FAT%)呈正相关(β=0.09)(P值均 < 0.01)。成分等时替代分析显示, 10或20 min的SB、SL或LPA替代同等时间的MVPA产生的不利效应均大于MVPA替代相应行为所产生的有益效应。LPA替代MVPA 10 min,男生FAT%上升1.01%、反向替代则下降0.91%;SB或SL替代MVPA 10 min,男生FFM分别减少1.10和1.16 kg、女生分别减少0.81和0.74 kg,反向替代则分别增加0.92和0.97 kg,0.65和0.58 kg(P值均 < 0.05)。LPA、SB或SL与MVPA替代20 min时,变化趋势基本一致(P值均 < 0.05)。 结论 24 h活动行为与中小学生身体成分有关联。MVPA是改善学生身体成分的主要影响成分。
2025, 46(10): 1493-1497.
doi: 10.16835/j.cnki.1000-9817.2025296
摘要:
目的 了解浙江省杭州市某校发生的一起食物中毒事件的流行病学及病原学特征,为相关突发性事件的科学处置提供参考依据。 方法 通过流行病学调查确定2024年5月浙江省杭州市某校一起食物中毒事件,开展病例对照研究以查找可疑食物,采用卫生学调查发现风险因素,采集患者和从业人员肛拭、食堂留样、环节涂抹等标本进行病原体快速初筛,根据筛查结果进行可疑病原体产气荚膜梭菌(CP)分离鉴定,对分离菌株进行毒素基因检测和全基因组测序分析。 结果 此次食物中毒事件共造成45人出现腹泻、腹痛等胃肠道症状,可疑食物为5月29日中餐学生食堂番茄炒蛋和玉米排骨。卫生学调查发现,该食堂在食物加工、制备、贮存环节存在污染风险。46份肛拭和10份食堂留样CP 16 S阳性,27份样本中分离出59株CP,10例病例和1名从业人员分离株的CPE(cpe)阳性(F型)、全基因组进化分析为同一来源。 结论 该起食物中毒事件由携带CPE(cpe)的F型CP感染引起,从业人员带菌为可能的暴发源头。建议食堂从业人员应加强培训并进行常见食源性病原体的定期监测。
2025, 46(10): 1498-1502.
doi: 10.16835/j.cnki.1000-9817.2025299
摘要:
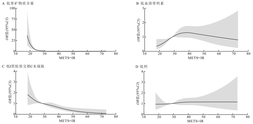
目的 分析青少年胰岛素抵抗代谢评分(METS-IR)与骨矿物质含量(BMC)、骨代谢标志物的关系,为早期识别和防治青少年骨相关疾病提供科学依据。 方法 2017—2019和2023年,通过方便抽样与分层整群随机抽样相结合的方法抽取银川市1 414名12~18岁青少年进行问卷调查、体格测量和实验室检测,以获取青少年体质量指数、BMC、血清骨钙素(OC)、Ⅰ型胶原交联C末端肽(CTX)、钙(Ca)、METS-IR等数据,根据P25、P50、P75将METS-IR分为Q1~Q4四组。使用Logistic回归模型结合限制性立方样条方法分析青少年METS-IR与BMC低下及骨代谢标志物低下的关系,通过受试者工作特征(ROC)曲线分析METS-IR对BMC低下的评估效果。 结果 青少年BMC、OC、CTX、Ca、METS-IR水平分别为(2.66±0.52)kg,(20.49±13.77)ng/mL,(2 460.89±1 818.96)pg/mL,(2.47±0.67)mmol/L,30.63±7.58;调整性别、年龄和体力活动水平后,METS-IR Q4组相较Q1组发生BMC低下和低CTX的风险降低[OR值(95%CI)分别为0.03(0.01~0.07),0.45(0.32~0.65)],发生低OC的风险升高[OR值(95%CI)=1.85(1.28~2.67)](P值均 < 0.05);性别分层后,男、女生METS-IR Q4组相较Q1组发生BMC低下、低OC和低CTX的风险与总人群相似(P值均 < 0.05);调整性别、年龄和体力活动水平后,METS-IR与BMC低下和低OC之间均存在非线性剂量-反应关系(P总趋势值均 < 0.01,P非线性值均=0.01),与低CTX存在线性剂量-反应关系(P总趋势 < 0.01,P非线性=0.72)。ROC曲线结果显示,METS-IR对BMC低下的评估效果最佳(AUC=0.85,95%CI=0.82~0.88,P < 0.01)。 结论 METS-IR评分高的学生BMC低下和低CTX的风险较低,但低OC的风险较高;且METS-IR是早期预测BMC低下的可靠指标。
2025, 46(10): 1506-1510.
doi: 10.16835/j.cnki.1000-9817.2025311
摘要:
目的 探究不同光照强度的夜间光照(LAN)与学龄前儿童眼生物参数的关联,为优化儿童近视预防和控制策略提供参考依据。 方法 于2024年11月—2025年1月,采用普查方法选取福建省泉州市1所幼儿园共369名学龄前儿童进行问卷调查和眼部检查,采用便携式光传感设备收集LAN数据。通过Spearman相关性分析探索不同强度的LAN时长与眼生物参数的相关性,广义线性模型探究各强度的LAN时长与眼生物参数的关联,限制性立方样条探究二者间非线性关联。 结果 学龄前儿童等效球镜(SE)、眼轴长度(AL)、眼轴长度与角膜曲率半径比值(AL/CR)分别为0.38(-0.13, 0.63)D,22.35(21.86, 22.88)mm,2.86(2.82, 2.90)。儿童在LAN处于0,>0~100,>100~300和>300 lx的时长中位数分别为6.09(5.31, 6.74),1.74(1.13, 2.42),0.06(0.00, 0.26)和0.00(0.00, 0.00)h/d。广义线性模型显示,>100~300 lx的LAN每增加1 h,AL/CR增加0.26(95%CI=0.01~0.52),>300 lx的LAN每增加1 h,AL/CR增加0.32(95%CI=0.05~0.59)(P值均 < 0.05);SE和AL与0,>0~100,>100~300和>300 lx各水平的LAN相关性均无统计学意义(P值均>0.05)。限制性立方样条函数的模型显示,除在>100~300 lx的LAN时长与AL之间存在非线性关系(P=0.02)外,其他光照强度水平下的LAN时长与学龄前儿童SE、AL、AL/CR均呈线性关系(P值均>0.05)。按时间分类进行亚组分析表明,上学日期间>100~300和>300 lx的LAN时长增加1 h,AL/CR分别增加0.18(95%CI=0.01~0.35)和0.22(95%CI=0.03~0.41)(P值均 < 0.05);而周末其关联无统计学意义(P值均>0.05)。 结论 较高强度的LAN与学龄前儿童AL/CR增长相关,减少LAN暴露对学龄前儿童视力具有潜在保护作用。
2025, 46(10): 1503-1505.
doi: 10.16835/j.cnki.1000-9817.2025306
摘要:
目前儿童青少年近视病因与发病机制尚未明确,炎症因子作为生物体内重要的调节介质,其在近视发生发展中的潜在作用引起越来越多的关注。研究对全身性炎症和眼内炎症状态与近视的关联进行阐述,探讨近视发病的炎症机制及靶向调控相关信号通路在近视治疗中的干预策略,为儿童青少年近视防控提供新思路。
目前儿童青少年近视病因与发病机制尚未明确,炎症因子作为生物体内重要的调节介质,其在近视发生发展中的潜在作用引起越来越多的关注。研究对全身性炎症和眼内炎症状态与近视的关联进行阐述,探讨近视发病的炎症机制及靶向调控相关信号通路在近视治疗中的干预策略,为儿童青少年近视防控提供新思路。
2025, 46(10): 1511-1515.
doi: 10.16835/j.cnki.1000-9817.2025310
摘要:
人工智能(AI)技术在心理健康领域的应用日益深入,儿童青少年作为数字原生代,其心理健康问题的预防、识别和干预正经历着由传统模式向智能化、数字化模式的重大转变。当前,中国儿童青少年心理健康状况不容乐观,抑郁、焦虑等情绪障碍呈现低龄化趋势,而传统的心理健康服务模式面临着专业人员不足、服务可及性低、早期识别困难等多重挑战。研究系统梳理了AI技术在儿童青少年心理健康服务中的应用现状,包括筛查评估、干预治疗等方面最新进展;深入分析当前面临的关键挑战;提出促进AI技术与儿童青少年心理健康服务深度融合的建议,为推动心理健康服务的智能化、精准化和普惠化发展提供理论支撑和实践指导。
人工智能(AI)技术在心理健康领域的应用日益深入,儿童青少年作为数字原生代,其心理健康问题的预防、识别和干预正经历着由传统模式向智能化、数字化模式的重大转变。当前,中国儿童青少年心理健康状况不容乐观,抑郁、焦虑等情绪障碍呈现低龄化趋势,而传统的心理健康服务模式面临着专业人员不足、服务可及性低、早期识别困难等多重挑战。研究系统梳理了AI技术在儿童青少年心理健康服务中的应用现状,包括筛查评估、干预治疗等方面最新进展;深入分析当前面临的关键挑战;提出促进AI技术与儿童青少年心理健康服务深度融合的建议,为推动心理健康服务的智能化、精准化和普惠化发展提供理论支撑和实践指导。
2025, 46(10): 1516-1520.
doi: 10.16835/j.cnki.1000-9817.2025313
摘要:
虐待严重侵犯了儿童生存、发展和受保护的基本权利,是亟待解决的公共卫生问题。儿童因心理需求增加、表达受限及社会支持薄弱等因素,容易成为受虐的高危群体。文章系统梳理虐待对儿童心理健康的影响,并从预防性干预与治疗性干预2个维度,阐述当前干预措施的主要类型及其实施效果,通过强化顶层设计、开发适配性工具和推进适应性干预,助力构建科学高效的儿童虐待防治体系。
虐待严重侵犯了儿童生存、发展和受保护的基本权利,是亟待解决的公共卫生问题。儿童因心理需求增加、表达受限及社会支持薄弱等因素,容易成为受虐的高危群体。文章系统梳理虐待对儿童心理健康的影响,并从预防性干预与治疗性干预2个维度,阐述当前干预措施的主要类型及其实施效果,通过强化顶层设计、开发适配性工具和推进适应性干预,助力构建科学高效的儿童虐待防治体系。
摘要:
根据国务院1987年同意建立的全国学生体质与健康调研制度, 2019年, 教育部等部署开展了第八次全国学生体质与健康调研工作。发现中国学生体质与健康状况总体有所改善, 并提出了促进学生体质与健康水平提高的主要因素, 针对本次调研发现的问题提出以下相关安排: 全面加强和改进学校体育工作、落实学校卫生与健康教育政策要求、持续综合防控儿童青少年近视、实施全国健康学校建设计划。
根据国务院1987年同意建立的全国学生体质与健康调研制度, 2019年, 教育部等部署开展了第八次全国学生体质与健康调研工作。发现中国学生体质与健康状况总体有所改善, 并提出了促进学生体质与健康水平提高的主要因素, 针对本次调研发现的问题提出以下相关安排: 全面加强和改进学校体育工作、落实学校卫生与健康教育政策要求、持续综合防控儿童青少年近视、实施全国健康学校建设计划。
摘要:
编制适合我国使用的青少年非自杀性自伤行为评定问卷,并对其信效度进行评价,为更好地了解我国青少年非自杀性自杀行为提供工具.方法 自行编制青少年非自杀性自伤行为评定问卷.采用分层整群抽样方法,选取沈阳、郑州、南昌和深圳部分在校初、高中学生,共15 096人进行问卷调查.通过同质信度、分半信度、结构效度等评价问卷的信效度.选取合肥市某中学94名学生使用自残功能性评估问卷(Functional Assessment of Self-mutilation,FASM)作为校标问卷进行调查,考察问卷的效标关联效度.结果 青少年非自杀性自伤行为评定问卷分为行为问卷(12个条目)和功能问卷(19个条目)2部分.行为问卷的Cronbachα系数为0.921,分半信度为0.851,重测信度为0.843,累计方差贡献率为64.914%,与校标问卷FASM行为维度得分的相关系数r=0.833(P<0.01).功能问卷总分的Cronbach α系数为0.905,分半信度为0.786,重测信度为0.805,累计方差贡献率为53.871%,与校标问卷FASM功能维度得分的相关系数r=0.859(P<0.01).结论 青少年非自杀性自伤行为评定问卷具有较好的信效度,可作为我国青少年非自杀性自伤行为和功能的评定工具.
编制适合我国使用的青少年非自杀性自伤行为评定问卷,并对其信效度进行评价,为更好地了解我国青少年非自杀性自杀行为提供工具.方法 自行编制青少年非自杀性自伤行为评定问卷.采用分层整群抽样方法,选取沈阳、郑州、南昌和深圳部分在校初、高中学生,共15 096人进行问卷调查.通过同质信度、分半信度、结构效度等评价问卷的信效度.选取合肥市某中学94名学生使用自残功能性评估问卷(Functional Assessment of Self-mutilation,FASM)作为校标问卷进行调查,考察问卷的效标关联效度.结果 青少年非自杀性自伤行为评定问卷分为行为问卷(12个条目)和功能问卷(19个条目)2部分.行为问卷的Cronbachα系数为0.921,分半信度为0.851,重测信度为0.843,累计方差贡献率为64.914%,与校标问卷FASM行为维度得分的相关系数r=0.833(P<0.01).功能问卷总分的Cronbach α系数为0.905,分半信度为0.786,重测信度为0.805,累计方差贡献率为53.871%,与校标问卷FASM功能维度得分的相关系数r=0.859(P<0.01).结论 青少年非自杀性自伤行为评定问卷具有较好的信效度,可作为我国青少年非自杀性自伤行为和功能的评定工具.
摘要:
探讨不同强度体育锻炼对提升高校学生心理健康和心理韧性的效果,为大学生体育教学改革提供相关研究资料.方法 按照整群抽样的原则,选取武汉职业技术学院1 546名大一学生作为研究对象,利用SCL-90自评量表和青少年心理韧性量表进行调查.将学生按班级分为对照1,2,3组和观察组,其中对照1组390名,按照常规体育课程进行锻炼;对照2组385名,给予小运动强度锻炼;对照3组387名,给予大强度体育锻炼;观察组384名,给予中等强度锻炼.结果 干预后,观察组大学生SCL-90量表中躯体化、强迫、人际敏感、抑郁、焦虑、偏执得分明显优于对照1组、2组以及3组(F值分别为3.57,3.33,4.27,5.28,3.82,4.29,P值均<0.01);心理韧性调查表得分观察组明显优于对照1,2组,差异有统计学意义(P值均<0.01).观察组学生认为体育锻炼可对社交、身心健康、精神解脱以及自我磨炼等产生良好的影响,与其余组别学生得分差异均有统计学意义(P值均<0.05).结论 中等强度的体育锻炼可有效提升高校学生心理健康和心理韧性,值得关注.
探讨不同强度体育锻炼对提升高校学生心理健康和心理韧性的效果,为大学生体育教学改革提供相关研究资料.方法 按照整群抽样的原则,选取武汉职业技术学院1 546名大一学生作为研究对象,利用SCL-90自评量表和青少年心理韧性量表进行调查.将学生按班级分为对照1,2,3组和观察组,其中对照1组390名,按照常规体育课程进行锻炼;对照2组385名,给予小运动强度锻炼;对照3组387名,给予大强度体育锻炼;观察组384名,给予中等强度锻炼.结果 干预后,观察组大学生SCL-90量表中躯体化、强迫、人际敏感、抑郁、焦虑、偏执得分明显优于对照1组、2组以及3组(F值分别为3.57,3.33,4.27,5.28,3.82,4.29,P值均<0.01);心理韧性调查表得分观察组明显优于对照1,2组,差异有统计学意义(P值均<0.01).观察组学生认为体育锻炼可对社交、身心健康、精神解脱以及自我磨炼等产生良好的影响,与其余组别学生得分差异均有统计学意义(P值均<0.05).结论 中等强度的体育锻炼可有效提升高校学生心理健康和心理韧性,值得关注.
摘要:
儿童青少年近视防控是一项系统工程,需要政府主导、全社会共同努力.为扎实推进近视防控工作,普及近视防控的适宜技术,国家卫生健康委员会颁布实施了《儿童青少年近视防控适宜技术指南》(简称《指南》).本文围绕《指南》的背景、意义和主要内容等方面进行解读,以提高公共卫生专业工作者和关注儿童青少年近视防控工作相关人员对《指南》内容的理解.
儿童青少年近视防控是一项系统工程,需要政府主导、全社会共同努力.为扎实推进近视防控工作,普及近视防控的适宜技术,国家卫生健康委员会颁布实施了《儿童青少年近视防控适宜技术指南》(简称《指南》).本文围绕《指南》的背景、意义和主要内容等方面进行解读,以提高公共卫生专业工作者和关注儿童青少年近视防控工作相关人员对《指南》内容的理解.
摘要:
大学生体质下降现已成为一项严峻的全球性社会问题,受到各国政府的高度重视和研究人员的密切关注,而身体活动量减少是造成大学生体质健康水平下降的直接原因.影响大学生身体活动量减少的因素较多,其中不良生活方式是较为重要的原因,健康生活方式对包括柔韧、肌肉力量、耐力、体质量指数(BMI)等身体健康指标,以及舒张压、收缩压、三酰甘油、总胆固醇等冠心病危险因素均有积极影响[1].本文拟对国内外大学生生活方式与体质健康水平研究现状进行梳理与分析,了解生活方式对大学生体质健康影响情况及干预策略,以期为我国大学生体质改善提供指导.
大学生体质下降现已成为一项严峻的全球性社会问题,受到各国政府的高度重视和研究人员的密切关注,而身体活动量减少是造成大学生体质健康水平下降的直接原因.影响大学生身体活动量减少的因素较多,其中不良生活方式是较为重要的原因,健康生活方式对包括柔韧、肌肉力量、耐力、体质量指数(BMI)等身体健康指标,以及舒张压、收缩压、三酰甘油、总胆固醇等冠心病危险因素均有积极影响[1].本文拟对国内外大学生生活方式与体质健康水平研究现状进行梳理与分析,了解生活方式对大学生体质健康影响情况及干预策略,以期为我国大学生体质改善提供指导.
摘要:
探讨运动干预对焦虑女大学生睡眠质量的影响,以及负性情绪在运动干预影响睡眠质量中的中介效应,为指导睡眠障碍患者的康复提供参考.方法 以北京师范大学70名焦虑女大学生为研究对象,随机分为实验组(34名)和对照组(36名);实验组进行8周有氧运动与瑜伽训练结合的干预,对照组在相同时间正常学习生活不进行规律运动;采用匹兹堡睡眠质量量表(PSQI)、正性负性情绪量表(PANAS)、焦虑自评量表(SAS),评估被试运动干预前后的睡眠与负性情绪水平.结果 运动干预后,实验组睡眠质量(4.31±1.26)、焦虑(36.41±7.32)和负性情绪(2.37±0.50)得分较干预前[(8.41±3.11)(53.76±2.70)(2.79±0.59)]均显著改善(P值均<0.01),而对照组干预前后差异无统计学意义(P值均>0.05).中介效应检验显示,负性情绪在运动对睡眠质量的影响中起部分中介作用(t=6.77,P<0.01).结论 运动干预显著改善了焦虑女大学生睡眠质量和负性情绪水平,负性情绪在运动改善睡眠质量过程中起部分中介作用.
探讨运动干预对焦虑女大学生睡眠质量的影响,以及负性情绪在运动干预影响睡眠质量中的中介效应,为指导睡眠障碍患者的康复提供参考.方法 以北京师范大学70名焦虑女大学生为研究对象,随机分为实验组(34名)和对照组(36名);实验组进行8周有氧运动与瑜伽训练结合的干预,对照组在相同时间正常学习生活不进行规律运动;采用匹兹堡睡眠质量量表(PSQI)、正性负性情绪量表(PANAS)、焦虑自评量表(SAS),评估被试运动干预前后的睡眠与负性情绪水平.结果 运动干预后,实验组睡眠质量(4.31±1.26)、焦虑(36.41±7.32)和负性情绪(2.37±0.50)得分较干预前[(8.41±3.11)(53.76±2.70)(2.79±0.59)]均显著改善(P值均<0.01),而对照组干预前后差异无统计学意义(P值均>0.05).中介效应检验显示,负性情绪在运动对睡眠质量的影响中起部分中介作用(t=6.77,P<0.01).结论 运动干预显著改善了焦虑女大学生睡眠质量和负性情绪水平,负性情绪在运动改善睡眠质量过程中起部分中介作用.
摘要:
通过了解中国儿童哮喘患病率的流行病学特点,为儿童哮喘防治工作提供线索.方法 系统收集中国知网、万方数据库、维普、PubMed数据库中与儿童哮喘患病率相关的横断面研究,应用Stata 16.0软件进行Meta分析,采用随机效应模型计算患病率,并按性别、年龄、地区进行亚组分析.结果 共纳入26篇文献,研究对象213 729人,男童112 169名,女童101 560名.Meta分析结果显示,中国14岁及以下儿童哮喘总患病率为3.3%(95%CI=2.7%~4.0%).亚组分析结果显示,中国男童哮喘患病率高于女童(Q=11.42,P=0.01),4~6岁组儿童哮喘患病率高于0~3及7~14岁组儿童(Q=8.03,P=0.02),南、北方儿童哮喘患病率差异无统计学意义(Q=0.72,P>0.05).结论 中国儿童哮喘患病率呈上升趋势,建议加大哮喘防治力度.
通过了解中国儿童哮喘患病率的流行病学特点,为儿童哮喘防治工作提供线索.方法 系统收集中国知网、万方数据库、维普、PubMed数据库中与儿童哮喘患病率相关的横断面研究,应用Stata 16.0软件进行Meta分析,采用随机效应模型计算患病率,并按性别、年龄、地区进行亚组分析.结果 共纳入26篇文献,研究对象213 729人,男童112 169名,女童101 560名.Meta分析结果显示,中国14岁及以下儿童哮喘总患病率为3.3%(95%CI=2.7%~4.0%).亚组分析结果显示,中国男童哮喘患病率高于女童(Q=11.42,P=0.01),4~6岁组儿童哮喘患病率高于0~3及7~14岁组儿童(Q=8.03,P=0.02),南、北方儿童哮喘患病率差异无统计学意义(Q=0.72,P>0.05).结论 中国儿童哮喘患病率呈上升趋势,建议加大哮喘防治力度.
摘要:
了解江苏省大学生体育锻炼参与现状及影响因素,为促进大学生体质健康发展提供参考.方法 分层整群抽取江苏省12所高校2 643名大学生进行体育锻炼参与行为的问卷调查.结果 仅有2.3%(60/2 643)的大学生每周上体育课课时数≥3学时,29.9%(790名)每周参与课外体育锻炼次数≥3次,14.8%(391名)每天参与体育锻炼时间≥lh,23.0%(609名)掌握的运动技能项数≥3项,45.7%(1 208名)未参加体育社团,17.8%(471名)参与校外体育俱乐部等社会体育组织;40.1%(1 059名)的学生认为体育课程内容缺乏趣味性,31.9%(845名)的学生不喜欢体育教师或其授课方式,19.4%(514名)认为缺乏体育场地或器材,21.1%(558名)认为体育锻炼对学习效果没影响,28.9%(764名)认为体育课程及相关活动对就业没有影响,17.1%(451名)认为体育成绩好坏不影响在校评优和进步;大学生体育锻炼参与行为现状及不喜欢体育锻炼原因的性别、年级和地区差异均有统计学意义(P值均<0.05).单因素Logistic回归分析显示,性别、年级、地区、课程内容缺乏趣味性、不喜欢体育教师的授课方式、缺乏体育场地或器材是江苏省大学生体育锻炼参与行为的影响因素(P值均<0.05).结论 江苏省大学生体育锻炼参与行为现状情况不容乐观,促进大学生体育锻炼参与行为需要社会、学校和个人兼容并济,共同努力.
了解江苏省大学生体育锻炼参与现状及影响因素,为促进大学生体质健康发展提供参考.方法 分层整群抽取江苏省12所高校2 643名大学生进行体育锻炼参与行为的问卷调查.结果 仅有2.3%(60/2 643)的大学生每周上体育课课时数≥3学时,29.9%(790名)每周参与课外体育锻炼次数≥3次,14.8%(391名)每天参与体育锻炼时间≥lh,23.0%(609名)掌握的运动技能项数≥3项,45.7%(1 208名)未参加体育社团,17.8%(471名)参与校外体育俱乐部等社会体育组织;40.1%(1 059名)的学生认为体育课程内容缺乏趣味性,31.9%(845名)的学生不喜欢体育教师或其授课方式,19.4%(514名)认为缺乏体育场地或器材,21.1%(558名)认为体育锻炼对学习效果没影响,28.9%(764名)认为体育课程及相关活动对就业没有影响,17.1%(451名)认为体育成绩好坏不影响在校评优和进步;大学生体育锻炼参与行为现状及不喜欢体育锻炼原因的性别、年级和地区差异均有统计学意义(P值均<0.05).单因素Logistic回归分析显示,性别、年级、地区、课程内容缺乏趣味性、不喜欢体育教师的授课方式、缺乏体育场地或器材是江苏省大学生体育锻炼参与行为的影响因素(P值均<0.05).结论 江苏省大学生体育锻炼参与行为现状情况不容乐观,促进大学生体育锻炼参与行为需要社会、学校和个人兼容并济,共同努力.
摘要:
为切实加强新时代儿童青少年近视防控工作,教育部、国家卫生健康委员会等八部门于近日颁布实施《综合防控儿童青少年近视实施方案》(以下简称《实施方案》),将防控儿童青少年近视上升为国家战略.该文阐述了《实施方案》的出台背景、政策亮点和重要部署,以及教育部等八部门、各省份和地方教育系统对《实施方案》的贯彻落实情况.提出下一步综合防控儿童青少年近视的重点任务为以问题导向和目标导向为指引,狠抓工作落实,强化考核刚性约束,完善“政府主导、部门协同、专家指导、科研支撑、学校参与、家庭支持、社会共治”的综合防控体系.
为切实加强新时代儿童青少年近视防控工作,教育部、国家卫生健康委员会等八部门于近日颁布实施《综合防控儿童青少年近视实施方案》(以下简称《实施方案》),将防控儿童青少年近视上升为国家战略.该文阐述了《实施方案》的出台背景、政策亮点和重要部署,以及教育部等八部门、各省份和地方教育系统对《实施方案》的贯彻落实情况.提出下一步综合防控儿童青少年近视的重点任务为以问题导向和目标导向为指引,狠抓工作落实,强化考核刚性约束,完善“政府主导、部门协同、专家指导、科研支撑、学校参与、家庭支持、社会共治”的综合防控体系.
摘要:
我国儿童青少年的近视发病率居高不下,并呈低龄化的趋势,流行形势非常严峻,其中环境因素是近视病因研究的热点.本文对国内外儿童青少年近距离用眼、户外活动、睡眠时长、照明条件、饮食习惯等与近视发生的关系进行文献研究和分析,提出了针对社会、学校、家庭、学生和特殊个体不同角度的干预策略,以最大限度地保护儿童青少年的视力.
我国儿童青少年的近视发病率居高不下,并呈低龄化的趋势,流行形势非常严峻,其中环境因素是近视病因研究的热点.本文对国内外儿童青少年近距离用眼、户外活动、睡眠时长、照明条件、饮食习惯等与近视发生的关系进行文献研究和分析,提出了针对社会、学校、家庭、学生和特殊个体不同角度的干预策略,以最大限度地保护儿童青少年的视力.
摘要:
根据国务院1987年同意建立的全国学生体质与健康调研制度, 2019年, 教育部等部署开展了第八次全国学生体质与健康调研工作。发现中国学生体质与健康状况总体有所改善, 并提出了促进学生体质与健康水平提高的主要因素, 针对本次调研发现的问题提出以下相关安排: 全面加强和改进学校体育工作、落实学校卫生与健康教育政策要求、持续综合防控儿童青少年近视、实施全国健康学校建设计划。
根据国务院1987年同意建立的全国学生体质与健康调研制度, 2019年, 教育部等部署开展了第八次全国学生体质与健康调研工作。发现中国学生体质与健康状况总体有所改善, 并提出了促进学生体质与健康水平提高的主要因素, 针对本次调研发现的问题提出以下相关安排: 全面加强和改进学校体育工作、落实学校卫生与健康教育政策要求、持续综合防控儿童青少年近视、实施全国健康学校建设计划。
摘要:
分析影响儿童行为问题的饮食危险因素,为预防和减少儿童行为问题发生提供科学依据.方法 采用Rutter儿童行为量表对学龄儿童的行为问题进行分型,应用食物频率间卷(FFQ)调查各营养素摄入状况,通过病例对照研究及逐步回归分析研究行为问题与营养素摄入状况的相关性.结果不同性别儿童行为问题分型构成差异有统计学意义(x2 =8.01,P<0.05),男童主要以A型行为问题为主(53.37%),女童主要以N型行为问题为主(44.87%).行为问题组儿童能量、蛋白质、脂肪、胆固醇、维生素A、维生素B1、维生素B2、P、Se摄入量低于对照组,差异均有统计学意义(Z值分别为-2.22,-2.10,-2.29,-2.48,-3.16,-2.01,-2.02,-1.96,-2.08,P值均<0.05).逐步回归分析显示,性别、Se、维生素C与A型行为问题有关(F=4.84,P=0.01);分娩方式与N型行为问题有关(F=6.00,P=0.02);分娩方式、维生素A与M型行为问题有关(F=6.97,P=0.00);分娩方式、Cu、维生素A与总行为问题有关(F=5.47,P=0.00).结论 营养素摄入与儿童行为问题有关,纠正行为问题儿童营养失衡可能对改善行为问题有帮助.
分析影响儿童行为问题的饮食危险因素,为预防和减少儿童行为问题发生提供科学依据.方法 采用Rutter儿童行为量表对学龄儿童的行为问题进行分型,应用食物频率间卷(FFQ)调查各营养素摄入状况,通过病例对照研究及逐步回归分析研究行为问题与营养素摄入状况的相关性.结果不同性别儿童行为问题分型构成差异有统计学意义(x2 =8.01,P<0.05),男童主要以A型行为问题为主(53.37%),女童主要以N型行为问题为主(44.87%).行为问题组儿童能量、蛋白质、脂肪、胆固醇、维生素A、维生素B1、维生素B2、P、Se摄入量低于对照组,差异均有统计学意义(Z值分别为-2.22,-2.10,-2.29,-2.48,-3.16,-2.01,-2.02,-1.96,-2.08,P值均<0.05).逐步回归分析显示,性别、Se、维生素C与A型行为问题有关(F=4.84,P=0.01);分娩方式与N型行为问题有关(F=6.00,P=0.02);分娩方式、维生素A与M型行为问题有关(F=6.97,P=0.00);分娩方式、Cu、维生素A与总行为问题有关(F=5.47,P=0.00).结论 营养素摄入与儿童行为问题有关,纠正行为问题儿童营养失衡可能对改善行为问题有帮助.
获得奖项






