Relationship of family function with sleep quality and externalizing problem behaviors among preschool children
-
摘要:
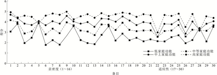
目的 探讨家庭功能与幼儿睡眠质量和外化问题行为的关系,为预防和干预幼儿外化问题行为提供指导。 方法 2023年10月—2024年1月,采用方便抽样方法选取湖北省武汉市8个区的5 138名幼儿园儿童进行问卷调查,由幼儿家长完成家庭亲密度和适应性量表、儿童睡眠习惯和儿童行为量表的调查。利用Spearman相关分析家庭功能与幼儿睡眠质量及外化问题行为得分的相关性;采用中介模型分析及Bootstrap检验进一步考察幼儿睡眠质量在家庭功能和外化问题行为间的中介作用;采用Mplus 8.7软件对家庭功能进行潜在剖面分析。 结果 幼儿睡眠质量不良报告率为11.8%(607名),外化问题行为报告率为20.0%(1 026名)。相关分析结果显示,家庭功能与幼儿睡眠质量、外化问题行为均呈负相关(r值分别为-0.20,-0.23),幼儿睡眠质量与外化问题行为呈正相关(r=0.27)(P值均 < 0.01)。中介效应检验显示,家庭功能负向预测幼儿外化问题行为(β=-0.079)和睡眠质量(β=-0.075),幼儿睡眠质量正向预测外化问题行为(β=0.215)(P值均 < 0.01)。潜在剖面分析结果显示,家庭功能可分为4种类别:高家庭功能组(23.01%)、中上家庭功能组(44.65%)、中等家庭功能组(26.24%)、低家庭功能组(6.11%);以“高家庭功能”为参照,其他3个类别均正向预测外化问题行为,不同家庭功能水平通过睡眠质量的中介效应有统计学意义[中上家庭功能:中介效应值为0.022(95%CI=0.004~0.041),直接效应值为0.329(95%CI=0.263~0.396);中等家庭功能:中介效应值为0.087(95%CI=0.063~0.115),直接效应值为0.491(95%CI=0.416~0.565);低家庭功能:中介效应值为0.144(95%CI=0.107~0.185),直接效应值为0.621(95%CI=0.503~0.740)](P值均 < 0.05)。 结论 家庭功能负向预测幼儿的外化问题行为,睡眠质量在其中发挥部分中介作用。 Abstract:Objective To explore the relationship of family function with sleep and externalizing problem behaviors of preschool children, so as to provide a guidance for externalizing problem prevention and intervention among preschool children. Methods From October 2023 to January 2024, a convenience sampling method was used to select 5 138 preschool children from kindergartens in 8 districts of Wuhan City, Hubei Province. Parents completed the survey for Family Adaptability and Cohesion Scale, children's sleep habits and Child Behavior Checklist (CBCL). Spearman correlation analysis was used to examine the correlation of family function with scores of sleep quality and externalizing problem behaviors among preschool children. A mediation model analysis and bootstrap test were conducted to further investigate the mediating role of sleep quality between family function and externalizing problem behaviors. Mplus 8.7 software was used for latent profile analysis of family function. Results The reported rates of poor sleep quality and externalizing problem behaviors among preschool children were 11.8% (n=607), 20.0% (n=1 026). The relevant analysis results showed that family function was negatively correlated with sleep quality and externalizing problem behaviors (r=-0.20, -0.23), and sleep quality was positively correlated with externalizing problem behaviors (r=0.27) (P < 0.01). The mediation effect test showed that family function negatively predicted externalizing problem behaviors (β=-0.079) and sleep quality (β=-0.075), while sleep quality positively predicted externalizing problem behaviors (β=0.215) (P < 0.01). The latent profile analysis results showed that family function could be classified into 4 categories: high family function group (23.01%), upper middle family function group (44.65%), moderate family function group (26.24%) and low family function group (6.11%). Compared to high family function, the other three categories significantly positively predicted externalizing problem behaviors, and the mediating effects of sleep quality on different categories of family function were statistically significant [upper middle family function: mediation effect value was 0.022 (95%CI=0.004-0.041) and direct effect value was 0.329 (95%CI=0.263-0.396); middle family function: mediation effect value was 0.087 (95%CI=0.063-0.115) and direct effect value was 0.491 (95%CI=0.416-0.565); low family function: mediation effect value was 0.144 (95%CI=0.107-0.185) and direct effect 0.621 (95%CI=0.503-0.740)] (P < 0.05). Conclusion Family function negatively predicts the externalizing problem behaviors of preschool children, and sleep quality plays a partial mediating role. 1) 利益冲突声明 所有作者声明无利益冲突。 -
表 1 不同组别幼儿睡眠质量不良和外化问题行为检出率比较
Table 1. Comparison of reporting rates of poor sleep quality and externalization problem behaviors among different groups of preschool children
组别 人数 睡眠质量不良 外化问题行为 检出人数 χ2值 检出人数 χ2值 性别 男 2 653 299(11.3) 1.56 443(16.7) 36.72** 女 2 485 308(12.4) 583(23.5) 家庭类型a 核心家庭 1 943 218(11.2) 9.01 342(17.6) 17.23** 大家庭 2 986 357(12.0) 626(21.0) 单亲或重组家庭 89 19(21.3) 27(30.3) 其他 120 13(10.8) 31(25.8) 父亲受教育程度 初中及以下 614 71(11.6) 1.28 159(25.9) 41.40** 高中/中专 1 251 159(12.7) 288(23.0) 大学/大专 2 933 338(11.5) 541(18.4) 硕士及以上 340 39(11.5) 38(11.2) 母亲受教育程度 初中及以下 662 73(11.0) 5.04 180(27.2) 46.57** 高中/中专 1 183 125(10.6) 272(23.0) 大学/大专 3 017 368(12.2) 540(17.9) 硕士及以上 276 41(14.9) 34(12.3) 注: ()内数字为报告率/%;** P < 0.01;α核心家庭指由父母与未成年子女组成的家庭结构,大家庭指三代及以上同堂,单亲家庭指父母离异或一方亡故,重组家庭指父/母亲再婚,其他为包含上述三类以外的其他类别。 表 2 幼儿家庭功能的潜在剖面分析(n=5 138)
Table 2. Latent profile analysis of family function among preschool children(n= 5 138)
模型 AIC值 BIC值 aBIC值 Entropy值 PLMR值 PBLRT值 类别概率 1 440 649.58 441 042.25 440 851.59 — — — — 2 404 719.65 405 315.19 405 026.02 0.94 < 0.01 < 0.01 0.36/0.64 3 392 566.14 393 364.56 392 976.88 0.92 < 0.01 < 0.01 0.19/0.51/0.29 4 386 025.26 387 026.55 386 540.37 0.93 < 0.01 < 0.01 0.06/0.45/0.26/0.23 5 383 089.38 384 293.55 383 708.86 0.93 < 0.01 < 0.01 0.06/0.27/0.43/0.04/0.21 -
[1] 石绪亮, 王硕, 李子涵, 等. 青少年睡眠质量在家庭亲密度与情绪问题间的纵向中介作用: 一项为期3年的追踪研究[J]. 中国临床心理学杂志, 2021, 29(4): 789-793.SHI X L, WANG S, LI Z H, et al. Poor sleep quality mediates the relationship between family cohesion and emotional problems in chinese adolescents: a three-year follow-up study[J]. Chin J Clin Psychol, 2021, 29(4): 789-793. (in Chinese) [2] LUCIA V C, BRESLAU N. Family cohesion and children's behavior problems: a longitudinal investigation[J]. Psychiatry Res, 2006, 141(2): 141-149. doi: 10.1016/j.psychres.2005.06.009 [3] SAELEE R, HAARDÖRFER R, JOHNSON D A, et al. Racial/ethnic and sex/gender differences in sleep duration trajectories from adolescence to adulthood in a US national sample[J]. Am J Epidemiol, 2023, 192(1): 51-61. doi: 10.1093/aje/kwac156 [4] GUARANA C L, RYU J W, O'BOYLE JR E H, et al. Sleep and self-control: a systematic review and Meta-analysis[J]. Sleep Med Rev, 2021, 59: 101514. doi: 10.1016/j.smrv.2021.101514 [5] 费立鹏, 沈其杰, 郑延平, 等. "家庭亲密度和适应性量表"和"家庭环境量表"的初步评价: 正常家庭与精神分裂症家庭成员对照研究[J]. 中国心理卫生杂志, 1991, 5(5): 198-202.FEI L P, SHEN Q J, ZHENG Y P, et al. Preliminary evaluation of Chinese version of FACES Ⅱ and FES: comparison of normal families and families of schizophrenic patients[J]. Chin Ment Health J, 1991, 5(5): 198-202. (in Chinese) [6] OWENS J A, SPIRITO A, MCGUINN M. The Children's Sleep Habits Questionnaire (CSHQ): psychometric properties of a survey instrument for school-aged children[J]. Sleep, 2000, 23(8): 1043-1051. http://www.depts.washington.edu/dbpeds/Screening%20Tools/CSHQ%20article.pdf [7] 苏林雁, 李雪荣, 罗学荣, 等. Achenbach儿童行为量表的再标准化及效度检验[J]. 中国心理卫生杂志, 1998, 12(2) : 67-69. doi: 10.3321/j.issn:1000-6729.1998.02.002SU L Y, LI X R, LUO X R, et al. The newly revised norms and validity testing of Achenbach Child Behavior Checklist[J]. Chin Ment Health J, 1998, 12(2) : 67-69. (in Chinese) doi: 10.3321/j.issn:1000-6729.1998.02.002 [8] 苏林雁, 李雪荣, 万国斌, 等. Achenbach儿童行为量表的湖南常模[J]. 中国临床心理学杂志, 1996, 4(1): 24-28.SU L Y, LI X R, WAN G B, et al. The norm of Achenbach Child Behavior Checklist in Hunan Province[J]. Chin J Clin Psychol, 1996, 4(1): 24-28. (in Chinese) [9] 吴甲旺, 李红霞, 司继伟. 小学低年级儿童的计算流畅性与数学焦虑: 基于变量为中心与个体为中心的分析[J]. 心理发展与教育, 2022, 38(1): 72-80.WU J W, LI H X, SI J W. How does computational fluency refine math anxiety in early elementary school children? Evidence from variable-oriented and person-oriented analyses[J]. Psychol Dev Educ, 2022, 38(1): 72-80. (in Chinese) [10] 王孟成, 邓俏文, 毕向阳, 等. 分类精确性指数Entropy在潜剖面分析中的表现: 一项蒙特卡罗模拟研究[J]. 心理学报, 2017, 49(11): 1473-1482.WANG M C, DENG Q W, BI X Y, et al. Performance of the entropy as an index of classification accuracy in latent profile analysis: a Monte Carlo simulation study[J]. Acta Psychol Sin, 2017, 49(11): 1473-1482. (in Chinese) [11] CARRAGHER N, ADAMSON G, BUNTING B, et al. Subtypes of depression in a nationally representative sample[J]. J Affect Disord, 2009, 113(1/2): 88-99. [12] 宋锡妍, 程亚华, 谢周秀甜, 等. 愤怒情绪对延迟折扣的影响: 确定感和控制感的中介作用[J]. 心理学报, 2021, 53(5): 456-468.SONG X Y, CHENG Y H, XIE Z X T, et al. The effect of anger on delay discounting: the mediating role of sense of certainty and sense of control[J]. Acta Psychol Sin, 2021, 53(5): 456-468. (in Chinese) [13] 方杰, 温忠麟, 张敏强. 类别变量的中介效应分析[J]. 心理科学, 2017, 40(2): 471-477.FANG J, WEN Z L, ZHANG M Q. Mediation analysis of categorical variables[J]. J Psychol Sci, 2017, 40(2): 471-477. (in Chinese) [14] ASHFORD S J, TSUI A S. Self-regulation for managerial effectiveness: the role of active feedback seeking[J]. Acad Manage J, 1991, 34(2): 251-280. doi: 10.2307/256442 [15] 孟仙, 余毅震, 刘卓娅, 等. 小学高年级儿童攻击行为与亲子依恋关系[J]. 中国学校卫生, 2011, 32(8): 901-903. http://www.cjsh.org.cn/article/id/zgxxws201506017MENG X, YU Y Z, LIU Z Y, et al. Relationship between aggression and parental attachment in children[J]. Chin J Sch Health, 2011, 32(8): 901-903. (in Chinese) http://www.cjsh.org.cn/article/id/zgxxws201506017 [16] ZHANG Y, CHEN Y, ZHANG W. Community violence exposure and externalizing problem behavior among Chinese high school students: the moderating role of parental knowledge[J]. Front Psychol, 2021, 12: 612237. doi: 10.3389/fpsyg.2021.612237 [17] CHEN M, LAN T, JIANG Y. Effects of family functioning on problem behaviour among Chinese preschool children: the mediation effect of mother-child relationships[J]. Early Child Dev Care, 2024, 194(4): 633-644. doi: 10.1080/03004430.2023.2236321 [18] 高闯, 马安然, 德力达尔. 纪念班杜拉对社会学习理论的发现: 基于数理心理学架构的回顾[J]. 心理研究, 2022, 15(1): 27-35.GAO C, MA A R, DE LI D E. Commemoration of Bandura's discovery of social learning theory: a review based on the mathematical principle of psychology[J]. Psychol Res, 2022, 15(1): 27-35. (in Chinese) [19] 温福华, 周焕南, 涂南萍, 等. 家庭功能与中小学生睡眠障碍及抑郁症状的关系[J]. 中国学校卫生, 2023, 44(5): 664-667. doi: 10.16835/j.cnki.1000-9817.2023.05.006WEN F H, ZHOU H N, TU N P, et al. Associations of family functioning with sleep disturbance and depressive symptoms among primary and secondary school students[J]. Chin J Sch Health, 2023, 44(5): 664-667. (in Chinese) doi: 10.16835/j.cnki.1000-9817.2023.05.006 -
下载: