Construction and evaluation of risk prediction model for non-suicidal self-injury of middle school students
-
摘要:
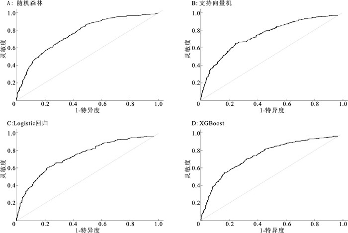
目的 基于不同机器学习算法构建中学生非自杀性自伤(NSSI)风险预测模型,并对模型的效果进行评价,为校园NSSI的防控提供指导。 方法 于2023年3月,采用分层整群随机抽样与方便抽样结合的方法抽取江西省南昌市、抚州市和上饶市共3 372名初、高中学生为研究对象,采用一般情况调查表、自尊量表、渥太华自伤量表、社会支持评定量表、中文版Olweus欺负问卷、事件归因方式量表、青少年心理韧性量表及青少年生活事件量表进行问卷调查。将数据按照7∶3分为训练集(n=2 361)和测试集(n=1 011),基于单因素及LASSO回归结果筛选变量,使用随机森林、支持向量机、Logistic回归及极端梯度提升树(XGBoost)4种机器学习算法分别构建NSSI风险预测模型,使用曲线下面积(AUC)、灵敏度、特异度、阳性预测值、阴性预测值、F1指数对模型效果进行评价和比较。 结果 中学生NSSI的检出率为34.4%,单因素分析显示,不同学段、性别、户籍所在地、是否担任班干部及4种不同被欺凌类型(身体、言语、关系、网络欺凌人)的中学生NSSI检出率差异均有统计学意义(χ2值分别为27.17,15.81,11.54,4.63;68.22,140.63,77.81,13.95,P值均 < 0.05)。NSSI为因变量纳入LASSO回归模型中进行变量筛选,结果显示,学段、自尊、主观支持、支持利用度、被言语欺凌、情绪控制、人际关系、受惩罚、亲友和财产丧失及健康与适应问题10个变量为预测变量。随机森林、支持向量机、Logistic回归、XGBoost算法的AUC值依次为0.76,0.76,0.76,0.77,两两比较差异均无统计学意义(Z=-0.59~0.82,P值均>0.05);灵敏度依次为0.62,0.61,0.62,0.61;特异度依次为0.74,0.78,0.78,0.78;阳性预测值依次为0.56,0.59,0.60,0.59;阴性预测值依次为0.79,0.79,0.80,0.79;F1指数依次为0.59,0.60,0.61,0.60。 结论 4种NSSI的风险预测模型效果均较好,Logistic回归模型效果略优于其余算法。学校及家长应关注NSSI对应的预测因素,以减少中学生NSSI的发生。 Abstract:Objective To construct a non-suicidal self-injury (NSSI) risk prediction model for middle school students using different machine learning algorithms and evaluate the model's effectiveness, so as to provide guidance for the prevention and control of NSSI in campus. Methods In March 2023, a total of 3 372 middle and high school students from schools in Nanchang, Fuzhou and Shangrao cities in Jiangxi Province were selected by combining stratified random cluster sampling and convenient sampling methods. Questionnaire surveys were conducted using various instruments including general information questionnaire, Self-esteem Scale, Ottawa Self-injury Scale, Social Support Assessment Scale, Chinese Version of the Olweus Bullying Questionnaire, Event Attribution Style Scale, Adolescent Resilience Scale, and Adolescent Life Events Scale. Data were divided into training set (n=2 361) and test set (n=1 011) at a ratio of 7∶3, and variables were selected based on univariate and LASSO regression results. Four machine learning algorithms including namely random forest, support vector machine, Logistic regression and XGBoost, were used to construct NSSI risk prediction models, and the models' performance was evaluated and compared using metrics including area under curve (AUC), sensitivity, specificity, positive predictive value, negative predictive value and F1 score. Results The detection rate of NSSI among middle school students was 34.4%. Univariate analysis showed that there were statistically significant differences in NSSI detection rates among middle school students of different grades, genders, registered residence locations, whether they were class cadres and four types of bullying (physical, verbal, relational bullying and cyberbullying) (χ2=27.17, 15.81, 11.54, 4.63;68.22, 140.63, 77.81, 13.95, P < 0.05). NSSI was included as the dependent variable in the LASSO regression model for variable screening, and the results regression identified 10 predictive variables including grade level, self-esteem, subjective support, support utilization, verbal bullying, emotional control, interpersonal relationships, punishment, loss of relatives and property, and health and adaptation issues. The AUC values of random forest, support vector machine, Logistic regression, and XGBoost algorithms were 0.76, 0.76, 0.76 and 0.77, respectively, with no statistically significant differences between pairwise comparisons (Z=-0.59-0.82, P>0.05). Sensitivity values were 0.62, 0.61, 0.62 and 0.61, respectively. Specificity values were 0.74, 0.78, 0.78 and 0.78, respectively. Positive predictive values were 0.56, 0.59, 0.60 and 0.59, respectively. Negative predictive values were 0.79, 0.79, 0.80 and 0.79, respectively. F1 scores were 0.59, 0.60, 0.61 and 0.60, respectively. Conclusions All four non-suicidal self-injury risk prediction models perform well, with the Logistic regression model slightly outperforming the others. Schools and parents should pay attention to the predictive factors corresponding to NSSI, so as to reduce the occurrence of NSSI among middle school students. -
Key words:
- Self-injurious behavior /
- Mental health /
- Models, statistical /
- Students
1) 利益冲突声明 所有作者声明无利益冲突。 -
表 1 不同组别中学生NSSI检出率比较
Table 1. Comparison of NSSI detection rate of middle school students among different groups
组别 选项 人数 NSSI检出人数 χ2值 P值 学段 初中 1 730 667(38.6) 27.17 < 0.01 高中 1 642 493(30.0) 性别 男 1 908 602(31.6) 15.81 < 0.01 女 1 464 558(38.1) 户籍所在地 农村 1 816 578(31.8) 11.54 < 0.01 城镇 1 556 582(37.4) 担任班干部 是 1 011 375(37.1) 4.63 0.03 否 2 361 785(33.2) 独生子女 是 454 160(35.2) 0.17 0.69 否 2 918 1 000(34.3) 被身体欺凌 是 186 116(62.4) 68.22 < 0.01 否 3 186 1 044(32.8) 被言语欺凌 是 658 356(54.1) 140.63 < 0.01 否 2 714 804(29.6) 被关系欺凌 是 229 140(61.1) 77.81 < 0.01 否 3 143 1 020(32.5) 被网络欺凌 是 91 48(52.7) 13.95 < 0.01 否 3 281 1 112(33.9) 注: ()内数字为检出率/%。 表 2 NSSI与非NSSI中学生各变量不同维度得分比较[M(P25, P75)]
Table 2. Comparison of scores on different dimensions for each varvable between NSSI and non-NSSI high school students[M(P25, P75)]
组别 人数 自尊 主观支持 客观支持 支持利用度 自我责难 责难他人 NSSI 1 160 26.00(23.00, 30.00) 16.00(12.00, 20.00) 22.00(18.00, 26.00) 18.00(12.00, 23.00) 14.00(12.00, 16.00) 10.00(8.00, 12.00) 非NSSI 2 212 29.00(26.00, 32.00) 19.00(15.00, 22.00) 25.00(21.00, 28.00) 22.00(17.00, 26.00) 13.00(10.00, 15.00) 10.00(7.00, 12.00) Z值 -16.77 -13.50 -13.81 -14.24 -8.34 -4.37 P值 < 0.01 < 0.01 < 0.01 < 0.01 < 0.01 < 0.01 组别 人数 目标专注 情绪控制 积极认知 家庭支持 人际协助 人际关系 NSSI 1 160 15.00(13.00, 18.00) 15.00(11.00, 19.00) 14.00(12.00, 16.00) 18.00(15.00, 22.00) 17.00(14.00, 21.00) 10.00(7.00, 13.00) 非NSSI 2 212 17.00(14.00, 20.00) 19.00(15.00, 23.00) 15.00(12.00, 17.00) 21.00(18.00, 24.00) 20.00(17.00, 24.00) 6.00(3.00, 10.00) Z值 -10.13 -17.81 -8.38 -12.01 -13.42 -19.83 P值 < 0.01 < 0.01 < 0.01 < 0.01 < 0.01 < 0.01 组别 人数 学习压力 受惩罚 亲友和财产丧失 健康与适应问题 其他 NSSI 1 160 9.00(6.00, 12.00) 6.00(2.25, 10.00) 3.00(0.00, 5.00) 5.00(3.00, 7.00) 5.00(2.00, 7.00) 非NSSI 2 212 7.00(4.00, 10.00) 2.00(0.00, 7.00) 1.00(0.00, 3.00) 3.00(1.00, 5.00) 2.00(0.00, 5.00) Z值 -15.83 -17.45 -13.82 -17.06 -18.04 P值 < 0.01 < 0.01 < 0.01 < 0.01 < 0.01 表 3 基于不同机器学习算法的模型预测中学生NSSI效果评价(n=1 011)
Table 3. Effectiveness of different machine learning algorithms for predicting NSSI among middle school students(n=1 011)
模型 测试集AUC 灵敏度 特异度 阳性预测值 阴性预测值 F1指数 随机森林 0.76 0.62 0.74 0.56 0.79 0.59 支持向量机 0.76 0.61 0.78 0.59 0.79 0.60 Logistic回归 0.76 0.62 0.78 0.60 0.80 0.61 XGBoost 0.77 0.61 0.78 0.59 0.79 0.60 -
[1] YANG F, JIANG L, MIAO J, et al. The association between non-suicidal self-injury and negative life events in children and adolescents in underdeveloped regions of South-Western China[J]. Peer J, 2022, 10: e12665. doi: 10.7717/peerj.12665 [2] BRENT D. Nonsuicidal self-injury as a predictor of suicidal behavior in depressed adolescents[J]. Am J Psychiatry, 2011, 168(5): 452-454. doi: 10.1176/appi.ajp.2011.11020215 [3] VOSS C, HOYER J, VENZ J, et al. Non-suicidal self-injury and its co-occurrence with suicidal behavior: an epidemiological-study among adolescents and young adults[J]. Acta Psychiatr Scand, 2020, 142(6): 496-508. doi: 10.1111/acps.13237 [4] MONGAN D, HEALY C, POWER E, et al. Thoughts of self-harm in late adolescence as a risk indicator for mental disorders in early adulthood[J]. World Psychiatry, 2023, 22(3): 481-483. doi: 10.1002/wps.21125 [5] YANG J, CHEN Y, YAO G, et al. Key factors selection on adolescents with non-suicidal self-injury: a support vector machine based approach[J]. Front Public Health, 2022, 10: 1049069. doi: 10.3389/fpubh.2022.1049069 [6] 孔令玲, 鲍昱含, 徐雯雯, 等. 初中生非自杀性自伤与负性生活事件的关系及相关因素[J]. 中国心理卫生杂志, 2023, 37(5): 405-410. doi: 10.3969/j.issn.1000-6729.2023.05.008KONG L L, BAO Y H, XU W W, et al. Relationship and related factors between non-suicidal self-injury and negative life events in junior high school students[J]. Chin Ment Health J, 2023, 37(5): 405-410. (in Chinese) doi: 10.3969/j.issn.1000-6729.2023.05.008 [7] POUDEL A, LAMICHHANE A, MAGAR K R, et al. Non suicidal self injury and suicidal behavior among adolescents: co-occurrence and associated risk factors[J]. BMC Psychiatry, 2022, 22(1): 96. doi: 10.1186/s12888-022-03763-z [8] ROSENBERG M. Society and the adolescent self-image[M]. Princeton NJ: Princeton University Press, 1965: 16-36. [9] CLOUTIER P F, NIXON M K. The Ottawa self injury inventory: a preliminary evaluation[J]. Eur Child Adolesc Psychiatry, 2003, 12(Suppl 11): 11-94. [10] 叶悦妹, 戴晓阳. 大学生社会支持评定量表的编制[J]. 中国临床心理学杂志, 2008, 16(5): 456-458. https://www.cnki.com.cn/Article/CJFDTOTAL-ZLCY200805005.htmYE Y M, DAI X Y. Development of Social Support Scale for University Students[J]. Chin J Clin Psychol, 2008, 16(5): 456-458. (in Chinese) https://www.cnki.com.cn/Article/CJFDTOTAL-ZLCY200805005.htm [11] 谢朝阳, 杨灿, 李宇琪, 等. 社会支持类型与留守儿童具体领域社会适应的关系: 一个多重中介模型[J]. 中国健康心理学杂志, 2023, 31(10): 1582-1588. https://www.cnki.com.cn/Article/CJFDTOTAL-JKXL202310027.htmXIE Z Y, YANG C, LI Y Q, et al. Relationship between social support and specific aspects of social adaptation of Chinese left-behind children: a multiple mediation model[J]. Chin J Health Psychol, 2023, 31(10): 1582-1588. (in Chinese) https://www.cnki.com.cn/Article/CJFDTOTAL-JKXL202310027.htm [12] 张文新, 武建芬. Olweus儿童欺负问卷中文版的修订[J]. 心理发展与教育, 1999, 15(2): 7-11. https://www.cnki.com.cn/Article/CJFDTOTAL-XLFZ902.001.htmZHANG W X, WU J F. The revision of the Chinese version of the Olweus Child Bullying Questionnaire[J]. Psychol Dev Educ, 1999, 15(2): 7-11. (in Chinese) https://www.cnki.com.cn/Article/CJFDTOTAL-XLFZ902.001.htm [13] 朱熊兆, 罗伏生, 姚树桥, 等. 认知情绪调节问卷中文版(CERQ-C)的信效度研究[J]. 中国临床心理学杂志, 2007, 15(2): 121-124, 131. doi: 10.3969/j.issn.1005-3611.2007.02.004ZHU X Z, LUO F S, YAO S Q, et al. Reliability and validity of the Cognitive Emotion Regulation Questionnaire-Chinese version (CERQ-C)[J]. Chin J Clin Psychol, 2007, 15(2): 121-124, 131. (in Chinese) doi: 10.3969/j.issn.1005-3611.2007.02.004 [14] 胡月琴, 甘怡群. 青少年心理韧性量表的编制和效度验证[J]. 心理学报, 2008, 40(8): 902-912. https://www.cnki.com.cn/Article/CJFDTOTAL-XLXB200808005.htmHU Y Q, GAN Y Q. Development and psychometric validity of the Resilience Scale for Chinese Adolescents[J]. Acta Psychol Sinca, 2008, 40(8): 902-912. (in Chinese) https://www.cnki.com.cn/Article/CJFDTOTAL-XLXB200808005.htm [15] 刘贤臣, 刘连启, 杨杰, 等. 青少年生活事件量表的信度效度检验[J]. 中国临床心理学杂志, 1997, 5(1): 39-41. https://www.cnki.com.cn/Article/CJFDTOTAL-ZLCY701.010.htmLIU X C, LIU L Q, YANG J, et al. Reliability and validity test of the Adolescent Life Events Scale[J]. Chin J Clin Psychol, 1997, 5(1): 39-41. (in Chinese) https://www.cnki.com.cn/Article/CJFDTOTAL-ZLCY701.010.htm [16] 段亚楠, 郭君武. 基于CT影像组学的机器学习模型预测非小细胞肺癌EGFR突变的价值[J]. 临床放射学杂志, 2023, 42(11): 1747-1752. https://www.cnki.com.cn/Article/CJFDTOTAL-LCFS202311009.htmDUAN Y N, GUO J W. Machine learning models based on CT radiomics predict the value of EGFR mutations in non-small cell lung cancer[J]. J Clin Radiol, 2023, 42(11): 1747-1752. (in Chinese) https://www.cnki.com.cn/Article/CJFDTOTAL-LCFS202311009.htm [17] 苟双玉, 杜美杰, 刘晓容, 等. 中国青少年非自杀性自伤检出率的Meta分析[J]. 现代预防医学, 2023, 50(2): 263-271. https://www.cnki.com.cn/Article/CJFDTOTAL-XDYF202302013.htmGOU S Y, DU M J, LIU X R, et al. Meta-analysis of the detection rate of non-suicidal self-injury among Chinese adolescents[J]. Mod Prev Med, 2023, 50(2): 263-271. (in Chinese) https://www.cnki.com.cn/Article/CJFDTOTAL-XDYF202302013.htm [18] 曹斌, 马晓婷. 华中地区农村中学生饮酒行为及其与非自杀性自伤行为的关联[J]. 现代预防医学, 2022, 49(10): 1797-1801. doi: 10.3969/j.issn.1003-8507.2022.10.xdyfyx202210014CAO B, MA X T. Drinking behavior and its association with non-suicidal self-injurious behavior among rural secondary school students in central China[J]. Mod Prev Med, 2022, 49(10): 1797-1801. (in Chinese) doi: 10.3969/j.issn.1003-8507.2022.10.xdyfyx202210014 [19] 茹福霞, 杨丽霞, 傅树坚, 等. 中学生亲子依恋及其与非自杀性自伤行为的关系[J]. 中国学校卫生, 2018, 39(5): 681-684, 687. doi: 10.16835/j.cnki.1000-9817.2018.05.012RU F X, YANG L X, FU S J, et al. Relationship between paternity attachment and non-suicidal self-injury behavior among middle school students[J]. Chin J Sch Health, 2018, 39(5): 681-684, 687. (in Chinese) doi: 10.16835/j.cnki.1000-9817.2018.05.012 [20] 郑紫薇, 周凡, 刘智洁, 等. 2 040名中学生人格特质、社会排斥与非自杀性自伤的关联[J]. 伤害医学(电子版), 2021, 10(4): 25-31. https://www.cnki.com.cn/Article/CJFDTOTAL-SHYD202104006.htmZHENG Z W, ZHOU F, LIU Z J, et al. Association between personality traits, social exclusions and non-suicidal self-injuries in 2 040 middle school students[J]. Inj Med(Electron Edit), 2021, 10(4): 25-31. (in Chinese) https://www.cnki.com.cn/Article/CJFDTOTAL-SHYD202104006.htm [21] 韩阿珠, 徐耿, 苏普玉. 中国大陆中学生非自杀性自伤流行特征的Meta分析[J]. 中国学校卫生, 2017, 38(11): 1665-1670. doi: 10.16835/j.cnki.1000-9817.2017.11.019HAN A Z, XU G, SU P Y. A Meta-analysis of characteristics of non-suicidal self-injury among middle school students in mainland China[J]. Chin J Sch Health, 2017, 38(11): 1665-1670. (in Chinese) doi: 10.16835/j.cnki.1000-9817.2017.11.019 [22] LI L, WANG X, TANG S, et al. Family functioning and problematic Internet pornography use among adolescents: a moderated mediation model[J]. Front Public Health, 2023, 11: 1199835. doi: 10.3389/fpubh.2023.1199835 [23] FORSTER M, GRIGSBY T J, GOWER A L, et al. The role of social support in the association between childhood adversity and adolescent self-injury and suicide: findings from a statewide sample of high school students[J]. J Youth Adolesc, 2020, 49(6): 1195-1208. doi: 10.1007/s10964-020-01235-9 [24] ZHONG S, CHENG D, SU J, et al. A network analysis of depressive symptoms, psychosocial factors, and suicidal ideation in 8 686 adolescents aged 12-20 years[J]. Psychiatry Res, 2023, 329: 115517. doi: 10.1016/j.psychres.2023.115517 [25] HAWTON K, SAUNDERS K E, O'CONNOR R C. Self-harm and suicide in adolescents[J]. Lancet, 2012, 379(9834): 2373-2382. doi: 10.1016/S0140-6736(12)60322-5 [26] WU N, HOU Y, CHEN P, et al. Peer acceptance and nonsuicidal self-injury among Chinese adolescents: a longitudinal moderated mediation model[J]. J Youth Adolesc, 2019, 48(9): 1806-1817. doi: 10.1007/s10964-019-01093-0 [27] 李丹, 徐刚敏, 刘世宏, 等. 母亲拒绝惩罚与6~9年级学生受欺负、社会能力的关系: 性别角色类型的调节作用[J]. 心理科学, 2017, 40(2): 360-366. https://www.cnki.com.cn/Article/CJFDTOTAL-XLKX201702017.htmLI D, XU G M, LIU S H, et al. The effect of maternal rejection-punishment on adolescent's victimization and social competence: gender-role as a moderator[J]. J Psychol Sci, 2017, 40(2): 360-366. (in Chinese) https://www.cnki.com.cn/Article/CJFDTOTAL-XLKX201702017.htm [28] 汪小斌, 汪俊华, 陈雄. 贵州省中学生死亡焦虑影响因素分析[J]. 中国学校卫生, 2018, 39(7): 1001-1003, 1007. doi: 10.16835/j.cnki.1000-9817.2018.07.012WANG X B, WANG J H, CHEN X. Influencing factorial analysis of death anxiety among middle school students in Guizhou Province[J]. Chin J Sch Health, 2018, 39(7): 1001-1003, 1007. (in Chinese) doi: 10.16835/j.cnki.1000-9817.2018.07.012 [29] 刘文萍, 张亚星. 转学与学生心理问题倾向的关系: 基于中国教育追踪调查的分析研究[J]. 上海教育科研, 2018(7): 47-51. https://www.cnki.com.cn/Article/CJFDTOTAL-SJYY201807012.htmLIU W P, ZHANG Y X. The relationship between school transfers and tendency of mental problem of students: an empirical study based on educational panel survey in China[J]. Shanghai Res Educ, 2018, (7): 47-51. (in Chinese) https://www.cnki.com.cn/Article/CJFDTOTAL-SJYY201807012.htm -
下载: