Association between latent classes of dietary patterns and depressive symptoms among first-grade students from multi-ethnic middle schools in Yunnan Province
-
摘要:
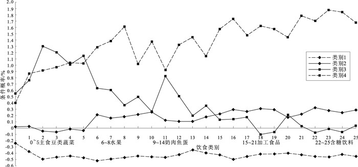
目的 探讨云南省多民族初一年级学生饮食模式潜类别及其与抑郁症状的关联,为边疆中学生心理健康促进提供参考依据。 方法 2022年10—12月,采用整群随机抽样方法抽取云南省11个县8 500名初一年级学生进行问卷调查。使用儿童抑郁量表(CDI)评估学生抑郁症状,应用饮食频率调查表收集学生饮食行为数据。使用潜在剖面分析模型拟合学生饮食模式潜类别,应用Logistic回归分析饮食模式潜类别与抑郁症状的关联。 结果 初一年级学生抑郁症状检出率为28.3%,女生抑郁症状检出率(30.9%)高于男生(25.5%),差异有统计学意义(χ2=29.83,P<0.01)。初一年级学生饮食模式有4种潜类别:类别1(所有饮食低消费),类别2(水果、奶及奶制品高消费),类别3(蔬菜、畜肉高消费,加工食品低消费),类别4(奶及奶制品和蛋类消费低,加工食品消费高)。以饮食模式类别1为参照,在控制混杂变量后,饮食模式类别3与初一年级学生抑郁症状呈负相关(OR=0.62,95%CI=0.52~0.74);类别4与初一年级学生抑郁症状呈正相关(OR=1.28,95%CI=1.05~1.57)(P值均<0.05)。 结论 云南省多民族初一年级学生饮食模式多样,不健康饮食模式可能增加抑郁症状发生的风险。应调整云南省多民族中学生饮食模式,促进其健康饮食模式的建立,降低中学生抑郁症状发生的风险。 Abstract:Objective To determine the latent class of dietary patterns and their association with depressive symptoms among first-grade students from multi-ethnic middle schools in Yunnan Province, so as to provide a reference basis for promoting mental health among border middle school students. Methods A cluster random sampling involving 8 500 first-grade middle school students from 11 counties in Yunnan Province was conducted by a questionnaire survey between October to December 2022. The Children's Depression Inventory (CDI) was used to assess the depressive symptoms and the Food Frequency Questionnaire was used to collect eating behavior data. The latent profile analysis model was used to fit the latent class of dietary patterns among students. The association between the dietary pattern latent class and depressive symptoms was analyzed by Logistic regression. Results The depressive symptom detection rate among first-grade middle school students was 28.3%. Prevalence of depressive symptom in girls (30.9%) was higher than boys (25.5%) with a statistically significant difference (χ2=29.83, P<0.01). The dietary patterns among first-grade middle school students were classified into four latent classes, as follows: class 1 (low consumption of all dietary components), class 2 (high consumption of fruit, milk and dairy products), class 3 (high consumption of vegetables and meat, and low consumption of processed foods) and class 4 (low consumption of milk, dairy products and eggs, and high consumption of processed foods). After adjusting for confounding variables, the class 3 dietary pattern was negatively correlated with depressive symptoms (OR=0.62, 95%CI=0.52-0.74) and the class 4 dietary pattern was positively correlated with depressive symptoms (OR=1.28, 95%CI=1.05-1.57) (P<0.05), compared with the class 1 dietary pattern. Conclusions Multi-ethnic first-grade middle school students in Yunnan Province follow various dietary patterns. Unhealthy dietary patterns increase the risk of depressive symptoms. The dietary patterns of multi-ethnic middle school students in Yunnan Province should be adjusted to promote the establishment of healthy dietary patterns and reduce the risk of depression symptoms in middle school students. -
Key words:
- Food habits /
- Depression /
- Mental health /
- Regression analysis /
- Students /
- Minority groups
1) 利益冲突声明 所有作者声明无利益冲突。 -
表 1 不同人口学特征男女初一年级学生抑郁症状检出率比较
Table 1. Comparison of detection rates of depressive symptoms in first-grade middle school students for boys and girls with different demographic characteristics
人口学指标 选项 男生 女生 人数 抑郁症状 χ2值 P值 人数 抑郁症状 χ2值 P值 年龄/岁 12 1 668 388(23.3) 7.64 <0.01 2 030 599(29.5) 3.41 0.07 13~15 2 516 681(27.1) 2 286 734(32.1) 民族 汉族 1 916 420(21.9) 55.33 <0.01 1 940 527(27.2) 70.96 <0.01 哈尼族 763 230(30.1) 822 235(28.6) 彝族 684 155(22.7) 695 214(30.8) 傈僳族 302 116(38.4) 299 140(46.8) 拉祜族 105 34(32.4) 149 67(45.0) 傣族 117 36(30.8) 118 47(39.8) 其他民族 297 78(26.3) 293 103(35.2) 家庭居住地 农村 3 111 831(26.7) 8.61 0.01 3 247 993(30.6) 0.56 0.45 城镇 1 073 238(22.2) 1 069 340(31.8) 独生子女 是 692 182(26.3) 0.25 0.62 564 213(37.8) 14.39 <0.01 否 3 492 887(25.4) 3 752 1 120(29.9) 亲密朋友数量/个 0~2 355 158(44.5) 82.56 <0.01 590 279(47.3) 96.36 <0.01 3~4 532 155(29.1) 829 272(32.8) ≥5 3 297 756(22.9) 2 897 782(27.0) 自评家庭经济状况 差 635 268(42.2) 110.62 <0.01 492 230(46.7) 69.36 <0.01 中 2 774 639(23.0) 3 226 951(29.5) 好 775 162(20.9) 598 152(25.4) 自评学习压力 重 1 445 536(37.1) 154.76 <0.01 1 595 754(47.3) 318.78 <0.01 中 2 554 495(19.4) 2 636 558(21.2) 轻 185 38(20.5) 85 21(24.7) 家庭类型 双亲 3 380 801(23.7) 34.69 <0.01 3 498 1 024(29.3) 22.56 <0.01 单亲 442 142(32.1) 420 158(37.6) 组合a 282 93(33.0) 335 126(37.6) 其他 80 33(41.3) 63 25(39.7) 父亲文化程度 小学未毕业或没有上过学 516 174(33.7) 26.47 <0.01 568 194(34.2) 3.95 0.41 小学 950 248(26.1) 1 006 310(30.8) 初中 1 933 459(23.7) 1 998 608(30.4) 高中/中专 547 142(26.0) 509 155(30.5) 大专及以上 238 46(19.3) 235 66(28.1) 母亲文化程度 小学未毕业或没有上过学 817 253(31.0) 31.50 <0.01 883 306(34.7) 8.52 0.07 小学 996 275(27.6) 1 049 313(29.8) 初中 1 708 384(22.5) 1 764 518(29.4) 高中/中专 448 120(26.8) 424 133(31.4) 大专及以上 215 37(17.2) 196 63(32.1) 父亲职业 公职人员b 1 917 501(26.1) 17.05 <0.01 2 256 673(29.8) 4.24 0.52 工人 284 61(21.5) 218 67(30.7) 公司职员 990 261(26.4) 808 259(32.1) 商人 329 58(17.6) 330 98(29.7) 农民 126 33(26.2) 143 47(32.9) 其他 538 155(28.8) 561 189(33.7) 母亲职业 公职人员b 2 206 581(26.3) 23.85 <0.01 2 454 747(30.4) 2.49 0.78 工人 236 41(17.4) 173 53(30.6) 公司职员 580 147(25.3) 467 152(32.5) 商人 386 74(19.2) 372 118(31.7) 农民 164 42(25.6) 160 43(26.9) 其他 612 184(30.1) 690 220(31.9) 注:()内数字为检出率/%。a有继父或继母,b为公务员及事业单位人员。 表 2 初一年级学生饮食模式的潜在剖面分析(n=8 500)
Table 2. Latent profile analysis of dietary patterns in first-grade middle school students(n=8 500)
模型 AIC值 BIC值 aBIC值 Entropy值 PLMR值 PBLRT值 类别概率 1 627 248.80 627 615.29 627 450.05 — — — — 2 587 793.25 588 350.03 588 098.98 0.94 <0.01 <0.01 0.78/0.22 3 573 205.68 573 952.75 573 615.90 0.90 <0.01 <0.01 0.53/0.39/0.08 4 567 988.35 568 925.71 568 503.06 0.88 <0.01 <0.01 0.48/0.31/0.14/0.07 5 563 464.04 564 591.69 564 083.24 0.88 0.05 <0.01 0.10/0.41/0.35/0.12/0.02 表 3 初一年级学生饮食模式潜类别与抑郁症状的关联(n=8 500)
Table 3. Association between latent classes of dietary patterns and depressive symptoms in first-grade middle school students(n=8 500)
模型 潜类别 β值 标准误 Wald χ2值 P值 OR值(95%CI) 模型1 类别1 1.00 类别2 0.04 0.06 0.61 0.43 1.04(0.94~1.16) 类别3 -0.45 0.08 31.24 <0.01 0.64(0.54~0.75) 类别4 0.30 0.09 10.66 <0.01 1.35(1.13~1.62) 模型2 类别1 1.00 类别2 0.02 0.06 0.11 0.74 1.02(0.91~1.15) 类别3 -0.47 0.09 28.91 <0.01 0.62(0.52~0.74) 类别4 0.25 0.10 5.75 0.02 1.28(1.05~1.57) 注:模型1未控制变量;模型2控制性别、年龄、民族、家庭居住地、独生子女、自评家庭经济状况、家庭类型、父/母亲文化程度、父/母亲职业、家庭变故、住院经历、疫情影响、被校园欺凌、被网络欺凌、抑郁症家族史、抽烟、饮酒、身体活动、自评学习压力、亲密朋友数量。 -
[1] JENKINS R. Global mental health and sustainable development 2018[J]. BJPsych Int, 2019, 16(2): 34-37. doi: 10.1192/bji.2019.5 [2] PATEL V, SAXENA S, LUND C, et al. The Lancet Commission on global mental health and sustainable development[J]. Lancet, 2018, 392(10157): 1553-1598. doi: 10.1016/S0140-6736(18)31612-X [3] PATEL V, FLISHER A J, HETRICK S, et al. Mental health of young people: a global public-health challenge[J]. Lancet, 2007, 369(9569): 1302-1313. doi: 10.1016/S0140-6736(07)60368-7 [4] KIM Y, HAGQUIST C. Trends in adolescent mental health during economic upturns and downturns: a multilevel analysis of Swedish data 1988-2008[J]. J Epidemiol Commun Health, 2018, 72(2): 101-108. doi: 10.1136/jech-2017-209784 [5] TRAN A, TRAN L, GEGHRE N, et al. Health assessment of French university students and risk factors associated with mental health disorders[J]. PLoS One, 2017, 12(11): e188187. [6] BUI C, LIN L Y, LIN C J, et al. Association between clustering of unhealthy behaviors and depressive symptom among adolescents in Taiwan: a nationwide cross-sectional survey[J]. Front Public Health, 2023, 11: 1049836. doi: 10.3389/fpubh.2023.1049836 [7] LAZAREVICH I, IRIGOYEN C M, VELAZQUEZ-ALVA M C, et al. Depression and food consumption in Mexican college students[J]. Nutr Hosp, 2018, 35(3): 620-626. [8] XU H, GUO J, WAN Y, et al. Association between screen time, fast foods, sugar-sweetened beverages and depressive symptoms in Chinese adolescents[J]. Front Psychiatry, 2020, 11: 458. [9] MA L, GAO L, CHIU D T, et al. Depressive symptoms prevalence, associated family factors, and gender differences: a national cohort study of middle school students in China[J]. J Affect Disord, 2020, 274: 545-552. doi: 10.1016/j.jad.2020.05.128 [10] ADOLPHUS K, LAWTON C L, DYE L. Associations between habitual school-day breakfast consumption frequency and academic performance in British adolescents[J]. Front Public Health, 2019, 7: 283. doi: 10.3389/fpubh.2019.00283 [11] MORAN A J, RAMIREZ M, BLOCK J P. Consumer underestimation of sodium in fast food restaurant meals: results from a cross-sectional observational study[J]. Appetite, 2017, 113: 155-161. doi: 10.1016/j.appet.2017.02.028 [12] SHAWON M, JAHAN E, ROUF R R, et al. Psychological distress and unhealthy dietary behaviours among adolescents aged 12-15 years in nine South-East Asian countries: a secondary analysis of the global school-based health survey data[J]. Br J Nutr, 2022: 1-10. DOI: 10.1017/S0007114522002306. [13] VORACOVA J, BADURA P, HAMRIK Z, et al. Unhealthy eating habits and participation in organized leisure-time activities in Czech adolescents[J]. Eur J Pediatr, 2018, 177(10): 1505-1513. doi: 10.1007/s00431-018-3206-y [14] KIM J, HONG C, LEE G. Association between sugar-sweetened beverage consumption and depression and suicidal ideation among Korean adults: a cross-sectional study from the 2014 and 2016 Korean national health and nutrition examination survey (KNHANES)[J]. Nutr Res Pract, 2022, 16(2): 194-204. doi: 10.4162/nrp.2022.16.2.194 [15] SAMM A, VARNIK A, TOODING L M, et al. Children's Depression Inventory in Estonia. Single items and factor structure by age and gender[J]. Eur Child Adolesc Psychiatry, 2008, 17(3): 162-170. doi: 10.1007/s00787-007-0650-z [16] GOLUBCHIK P, RAPAPORT M, WEIZMAN A. The effect of methylphenidate on anxiety and depression symptoms in patients with asperger syndrome and comorbid attention deficit/hyperactivity disorder[J]. Int Clin Psychopharmacol, 2017, 32(5): 289-293. doi: 10.1097/YIC.0000000000000175 [17] WANG L, FENG Z, YANG G, et al. Depressive symptoms among children and adolescents in western China: an epidemiological survey of prevalence and correlates[J]. Psychiatry Res, 2016, 246: 267-274. doi: 10.1016/j.psychres.2016.09.050 [18] XU H, SUN Y, WAN Y, et al. Eating pattern and psychological symptoms: a cross-sectional study based on a national large sample of Chinese adolescents[J]. J Affect Disord, 2019, 244: 155-163. doi: 10.1016/j.jad.2018.10.090 [19] 姜英虹, 苏云鹏, 苏莹珍, 等. 云南省大学生加工食品消费与焦虑症状关联的纵向研究[J]. 中国学校卫生, 2024, 45(2): 178-182.JIANG Y H, SU Y P, SU Y Z, et al. Longitudinal association between processed food consumption and anxiety symptoms among college students in Yunnan Province[J]. Chin J Sch Health, 2024, 45(2): 178-182. (in Chinese) [20] FORD T, LIPSON J, MILLER L. Spiritually grounded character: a latent profile analysis[J]. Front Psychol, 2023, 13: 1061416. doi: 10.3389/fpsyg.2022.1061416 [21] 徐凯旋, 赵之民, 胡燕燕, 等. 新疆中学生腰围与心理亚健康的关联[J]. 中国学校卫生, 2023, 44(3): 384-388. doi: 10.16835/j.cnki.1000-9817.2023.03.015XU K X, ZHAO Z M, HU Y Y, et al. Correlation between waist circumference and psychological sub-health of middle school students in Xinjiang[J]. Chin J Sch Health, 2023, 44(3): 384-388. (in Chinese) doi: 10.16835/j.cnki.1000-9817.2023.03.015 [22] 王少君, 张薇, 德力格尔. 内蒙古自治区学生心理健康状况分析[J]. 中国学校卫生, 2022, 43(4): 578-581. doi: 10.16835/j.cnki.1000-9817.2022.04.023WANG S J, ZHANG W, DELI G E. Analysis of mental health status of students in Inner Mongolia Autonomous Region[J]. Chin J Sch Health, 2022, 43(4): 578-581. (in Chinese) doi: 10.16835/j.cnki.1000-9817.2022.04.023 [23] KHANNA P, CHATTU V K, AERI B T. Nutritional aspects of depression in adolescents: a systematic review[J]. Int J Prev Med, 2019, 10: 42. doi: 10.4103/ijpvm.IJPVM_400_18 [24] GUZEK D, GLABSKA D, GROELE B, et al. Role of fruit and vegetables for the mental health of children: a systematic review[J]. Rocz Panstw Zakl Hig, 2020, 71(1): 5-13. [25] LANE M M, GAMAGE E, TRAVICA N, et al. Ultra-processed food consumption and mental health: a systematic review and Meta-analysis of observational studies[J]. Nutrients, 2022, 14(13): 2568. doi: 10.3390/nu14132568 [26] HEMMATI A, GHOREISHY S M, KARAMI K, et al. The association between dietary patterns and depression in adolescents: a cross-sectional study[J]. Clin Nutr ESPEN, 2021, 46: 271-275. doi: 10.1016/j.clnesp.2021.09.743 -
下载: